I have seven different equations which I want to left align.
Below is the code I am using to align the equations:
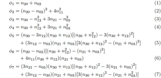
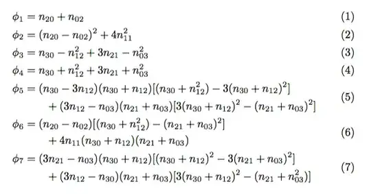
\begin{equation}
\phi_{1} \; = \; n_{20} + n_{02}
\end{equation}
\begin{equation}
\phi_{2} \; = \; (n_{20} - n_{02})^2 + 4n_{11}^2
\end{equation}
\begin{equation}
\phi_{3} \; = \; n_{30} - n_{12}^2 + 3n_{21} - n_{03}^2
\end{equation}
\begin{equation}
\phi_{4} \; = \; n_{30} + n_{12}^2 + 3n_{21} + n_{03}^2
\end{equation}
\begin{multline}
\phi_{5} \; = \; (n_{30} - 3n_{12})(n_{30} + n_{12})[(n_{30} + n_{12}^2) -3(n_{30} + n_{12})^2] + (3n_{12} - n_{03})(n_{21} + n_{03})[3(n_{30} + n_ {12})^2 - (n_{21} + n_{03})^2]
\end{multline}
\begin{equation}
\phi_{6} \; = \; (n_{20} - n_{02})[(n_{30} + n_{12}^2) - (n_{21} + n_{03})^2] + 4n_{11}(n_{30} + n_{12})(n_{21} + n_{03})
\end{equation}
\begin{equation}
\phi_{7} \; = \; (3n_{21} - n_{03})(n_{30} + n_{12})[(n_{30} + n_{12})^2 - 3(n_{21} + n_{03})^2] + (3n_{12} - n_{30})(n_{21} + n_{03})[3(n_{30} + n_{12})^2 - (n_{21} + n_{03}^2)]
\end{equation}
I want the equations to be left align and evenly spaced on each line, i.e. if an equation is too long it should go on to the next line.


alignto collect them all (no real need formultline, break a line in align instead. Don't use\; = \;, it is a wast of time and you end up with a setup looking uneven. – daleif Nov 21 '16 at 11:25fleqn. – Guilherme Zanotelli Nov 21 '16 at 11:31