Asked
Active
Viewed 2,526 times
2 Answers
4
Try
\documentclass{article}
\begin{document}
\[
\left| \begin{array}{l}
\alpha \\
\gamma \\
\delta \\
%\displaystyle% for display style of equations had to be added in each row
+ \frac{1}{T-1}\left[\;\int\limits_{\{h<|u_n|\}} |f(x)|^m \right]^{\frac{1}{m}} \dots
\end{array}\right.
\]
\end{document}
if you will provide your equations, I can populate array with them.
Addendum:
as mentioned David Carlisle in his comment below, use of aligned environment from amsmath/mathtools packages is better choice since with it you have displaystyle math environment:
\documentclass{article}
\usepackage{amsmath}
\begin{document}
\[
\left| \begin{aligned}
& \alpha \\
& \beta \\
& \gamma \\
& \delta \\
& + \frac{1}{T-1}\left[\;\int\limits_{\{h<|u_n|\}} |f(x)|^m \right]^{\frac{1}{m}} \dots
\end{aligned}\right.
\]
\end{document}
Zarko
- 296,517
-
1aligned would probably be better than an array since they are stacked displaystyle inequalities rather than an array of values – David Carlisle Nov 20 '16 at 00:10
-
@DavidCarlisle, thank you for comment. I consider it in the addendum to my answer. – Zarko Nov 20 '16 at 01:17
0
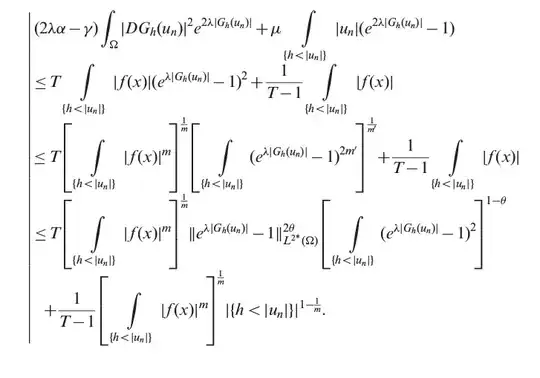
Here I define a new environment and make some improvements in the typesetting (the brackets are too big in your picture) and the coding, with the help of mathtools.
I also add a version without the rule, where the inequality symbols are moved a bit to the right, which makes the rule useless, in my opinion.
\documentclass{article}
\usepackage{amsmath,mathtools}
\usepackage{newtxtext,newtxmath}
\DeclarePairedDelimiter{\abs}{\lvert}{\rvert}
\DeclarePairedDelimiter{\norm}{\lVert}{\rVert}
\newcommand{\intl}{\int\limits}
\newenvironment{ruledaligned}
{\left|\aligned}
{\endaligned\right.}
\begin{document}
\begin{equation*}
\begin{ruledaligned}
& (2\lambda\alpha-\gamma)
\intl_\Omega \abs{DG_h(u_n)}^2 e^{2\lambda\abs{DG_h(u_n)}}
+\mu\intl_{\{h<\abs{u_n}\}} \abs{u_n}(e^{2\lambda\abs{DG_h(u_n)}}-1)
\\
&\le
T\intl_{\{h<\abs{u_n}\}} \abs{f(x)}(e^{2\lambda\abs{DG_h(u_n)}}-1)^2
+\frac{1}{T-1}\intl_{\{h<\abs{u_n}\}} \abs{f(x)}
\\
&\le
T\Biggl(\,\intl_{\{h<\abs{u_n}\}} \abs{f(x)}^m\Biggr)^{\!\frac{1}{m}}
\Biggl(\,\intl_{\{h<\abs{u_n}\}} (e^{\lambda\abs{DG_h(u_n)}}-1)^{2m'}\Biggr)^{\!\frac{1}{m'}}
+\frac{1}{T-1}\intl_{\{h<\abs{u_n}\}} \abs{f(x)}
\\
&\le
T\Biggl(\,\intl_{\{h<\abs{u_n}\}} \abs{f(x)}^m\Biggr)^{\!\frac{1}{m}}
\norm[\big]{e^{\lambda\abs{DG_h(u_n)}}-1}_{L^{2^*}(\Omega)}^{2\theta}
\Biggl(\,\intl_{\{h<\abs{u_n}\}} (e^{\lambda\abs{DG_h(u_n)}}-1)^2\Biggr)^{\!1-\theta}
\\
&\qquad+
\frac{1}{T-1}\Biggl(\,\intl_{\{h<\abs{u_n}\}} \abs{f(x)}^m\Biggr)^{\!\frac{1}{m}}
\abs[\big]{\{h<\abs{u_n}\}}^{1-\frac{1}{m}}
\end{ruledaligned}
\end{equation*}
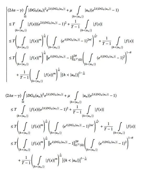
\begin{equation*}
\begin{aligned}
& (2\lambda\alpha-\gamma)
\intl_\Omega \abs{DG_h(u_n)}^2 e^{2\lambda\abs{DG_h(u_n)}}
+\mu\intl_{\{h<\abs{u_n}\}} \abs{u_n}(e^{2\lambda\abs{DG_h(u_n)}}-1)
\\
&\quad\le
T\intl_{\{h<\abs{u_n}\}} \abs{f(x)}(e^{2\lambda\abs{DG_h(u_n)}}-1)^2
+\frac{1}{T-1}\intl_{\{h<\abs{u_n}\}} \abs{f(x)}
\\
&\quad\le
T\Biggl(\,\intl_{\{h<\abs{u_n}\}} \abs{f(x)}^m\Biggr)^{\!\frac{1}{m}}
\Biggl(\,\intl_{\{h<\abs{u_n}\}} (e^{\lambda\abs{DG_h(u_n)}}-1)^{2m'}\Biggr)^{\!\frac{1}{m'}}
+\frac{1}{T-1}\intl_{\{h<\abs{u_n}\}} \abs{f(x)}
\\
&\quad\le
T\Biggl(\,\intl_{\{h<\abs{u_n}\}} \abs{f(x)}^m\Biggr)^{\!\frac{1}{m}}
\norm[\big]{e^{\lambda\abs{DG_h(u_n)}}-1}_{L^{2^*}(\Omega)}^{2\theta}
\Biggl(\,\intl_{\{h<\abs{u_n}\}} (e^{\lambda\abs{DG_h(u_n)}}-1)^2\Biggr)^{\!1-\theta}
\\
&\quad\qquad+
\frac{1}{T-1}\Biggl(\,\intl_{\{h<\abs{u_n}\}} \abs{f(x)}^m\Biggr)^{\!\frac{1}{m}}
\abs[\big]{\{h<\abs{u_n}\}}^{1-\frac{1}{m}}
\end{aligned}
\end{equation*}
\end{document}
egreg
- 1,121,712




\begin{array}{|l} … \end{array}? – Bernard Nov 19 '16 at 23:57