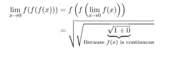
I am trying to put an underbrace underneath a the innermost of multiple square root signs. Unfortunately, I can't get the brace to line up underneath the entire line. Here's the relevant code and a picture of the output:
\documentclass{article}
\usepackage[utf8]{inputenc}
\begin{document}
\begin{align*}
\lim_{x\to0}f(f(f(x))) &= f\left(f\left(\lim_{x\to0}f(x)\right)\right) \\
&= \sqrt{\sqrt{\underbrace{\sqrt{1+0}}_{\text{Because $f(x)$ is continuous}}}}
\end{align*}
It should be pretty clear what I'm talking about from the picture.
It would also be cool if I could get the two outermost square root signs to be the same, but it's not a huge deal. The underbrace is the main issue here.
Thanks in advance!


