You cannot nest align* into equation*: it doesn't make sense, because align is by itself a display making environment. If you think to it, the unstarred variant align numbers each line; so it should be
\begin{align*}
A &< B \\
...
\end{align*}
without any equation* around it.
You might do
\begin{equation*}
\begin{aligned}
A &< B \\
...
\end{aligned}
\end{equation*}
and the result would be the same except perhaps for the spacing around the display and for the fact that the former can be split across pages (with \displaybreak before the relevant \\ command) and the latter can't.
However, such a display will look awful anyway, because the centering will be with respect to the width of the longest left-hand side plus the longest right-hand side, so the alignment point will appear too much on the right.
Such unbalanced lines should be treated, in my opinion, with gather and some more generous interline space.
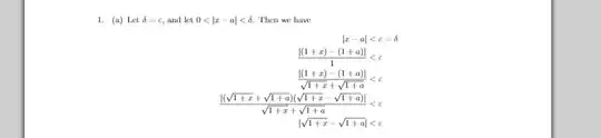
\documentclass{article}
\usepackage{amsmath}
\usepackage{showframe} % just for the example
\begin{document}
\begin{gather*}
\lvert x-a \rvert < \delta = \varepsilon \\[1ex]
\frac{\lvert (1+x)-(1+a)\rvert}{1} < \varepsilon \\[1ex]
\frac{\lvert (1+x)-(1+a)\rvert}{\sqrt{1+x} + \sqrt{1+a}} < \varepsilon \\[1ex]
\frac{\lvert (\sqrt{1+x}+\sqrt{1+a})(\sqrt{1+x}-\sqrt{1+a})\rvert}
{\sqrt{1+x} + \sqrt{1+a}} < \varepsilon \\[1ex]
\lvert \sqrt{1+x} - \sqrt{1+a}\rvert < \varepsilon
\end{gather*}
\end{document}

A possible improvement is remembering that when a square root vinculum happens to fall near a closing parenthesis, a thin space is needed; so the fourth display line should be
\frac{\lvert (\sqrt{1+x}+\sqrt{1+a}\,)(\sqrt{1+x}-\sqrt{1+a}\,)\rvert}
{\sqrt{1+x} + \sqrt{1+a}} < \varepsilon \\[1ex]
The difference is small, but noticeable by absence.

align*environment? You cannot nestaligninequation. For that, usealignedorsplit. You can post a screenshot of the result with an icon in the tool bar at the top of the edit window. – Bernard Nov 02 '16 at 01:50{}, above the question box; this brings up a window that allows you to post a.pngfile. – barbara beeton Nov 02 '16 at 12:09