Your line-breaking does not work, since \left and \right commands have always to come in pairs, on the same line in the output (not necessarily in the tex-file). At the place where you have inserted \\, there are four \left commands to the left of it, but only two \right commands, so you split two \left-\right pairs.
See "What do the pieces of LaTeX, \left and \right, respectively mean?" for an explanation of these commands.
Replace \\ by
\right.\right. \\ \left.\left.
and it will at least compile without errors. The \right. commands close some \left( to the left of it, the \left. commands are the counterparts of some \right). LaTeX then will measure the height of everything between \left and the corresponding \right and determine the height of the delimiter (here an opening parenthesis and no closing delimiter, because of the dot after \right).
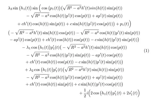
Here is your code structured according to the \lefts and \rights. If you split any of these pairs, you will get an error.
\documentclass{article}
\usepackage{mathtools}
\begin{document}
\begin{equation}
\begin{multlined}
\lambda _3 \sin
\left ( h_1(t)
\right) \sin
\left ( \cos
\left ( p_1(t)
\right)
\left ( \sqrt{R^2-a^2} h'(t) sin (h(t)) \sin (p(t))-\sqrt{R^2-a^2}
\cos (h(t)) p'(t) \cos (p(t))+a p'(t) \sin (p(t))+c h'(t)
\cos (h(t)) \sin (p(t))+c \sin (h(t)) p'(t) \cos (p(t))
\right) +p_1(t)
\right)
\left ( -\sqrt{R^2-a^2} h'(t) \sin (h(t)) \cos (p(t))-\sqrt{R^2-a^2}
\cos (h(t)) p'(t) \sin (p(t))-a p'(t) \cos (p(t))+c h'(t) \cos (h(t))
\cos (p(t))-c \sin (h(t)) p'(t) \sin (p(t))
\right) -\lambda _1 \cos
\left ( h_1(t)
\right) p_1'(t)
\left ( -\sqrt{R^2-a^2} h'(t) \sin (h(t)) \cos (p(t))-\sqrt{R^2-a^2}
\cos (h(t)) p'(t) \sin (p(t))-a p'(t) \cos (p(t))+c h'(t)
\cos (h(t)) \cos (p(t))-c \sin (h(t)) p'(t) \sin (p(t))
\right) +\lambda _2 \cos
\left ( h_1(t)
\right) p_1'(t)
\left ( \sqrt{R^2-a^2} h'(t) \sin (h(t)) \sin (p(t))-\sqrt{R^2-a^2}
\cos (h(t)) p'(t) \cos (p(t))+a p'(t) \sin (p(t))+c h'(t)
\cos (h(t)) \sin (p(t))+c \sin (h(t)) p'(t) \cos (p(t))
\right) +\frac{1}{2} i
\left (2 \cos
\left ( h_1(t)
\right) p_1'(t)+2 s_1'(t)
\right)
\end{multlined}
\end{equation}
\end{document}
I suggest to replace \left( and \right) by fixed-size parentheses like \big(, \Big(, ... (see "Big Parenthesis in an Equation"). After that you can insert line breaks wherever you think it makes sense. Here is an example.
\documentclass{article}
\usepackage{mathtools}
\begin{document}
\begin{equation}
\begin{multlined}
\lambda _3 \sin
\big ( h_1(t)
\big ) \sin
\Big ( \cos
\big ( p_1(t)
\big )
\big ( \sqrt{R^2-a^2} h'(t) sin (h(t)) \sin (p(t))\\-\sqrt{R^2-a^2}
\cos (h(t)) p'(t) \cos (p(t))+a p'(t) \sin (p(t))\\+c h'(t)
\cos (h(t)) \sin (p(t))+c \sin (h(t)) p'(t) \cos (p(t))
\big) +p_1(t)
\Big ) \\
\big ( -\sqrt{R^2-a^2} h'(t) \sin (h(t)) \cos (p(t))-\sqrt{R^2-a^2}
\cos (h(t)) p'(t) \sin (p(t))\\-a p'(t) \cos (p(t))+c h'(t) \cos (h(t))
\cos (p(t))-c \sin (h(t)) p'(t) \sin (p(t))
\big ) \\-\lambda _1 \cos
\big ( h_1(t)
\big ) p_1'(t)
\big ( -\sqrt{R^2-a^2} h'(t) \sin (h(t)) \cos (p(t))\\-\sqrt{R^2-a^2}
\cos (h(t)) p'(t) \sin (p(t))-a p'(t) \cos (p(t))\\+c h'(t)
\cos (h(t)) \cos (p(t))-c \sin (h(t)) p'(t) \sin (p(t))
\big )\\ +\lambda _2 \cos
\big ( h_1(t)
\big ) p_1'(t)
\big ( \sqrt{R^2-a^2} h'(t) \sin (h(t)) \sin (p(t))\\-\sqrt{R^2-a^2}
\cos (h(t)) p'(t) \cos (p(t))+a p'(t) \sin (p(t))\\+c h'(t)
\cos (h(t)) \sin (p(t))+c \sin (h(t)) p'(t) \cos (p(t))
\big )\\ +\frac{1}{2} i
\Big (2 \cos
\big ( h_1(t)
\big ) p_1'(t)+2 s_1'(t)
\Big)
\end{multlined}
\end{equation}
\end{document}
