Note that this answer addresses the original question asked and not the quite different question which replaced it after this answer was posted.
equation already puts you in maths mode, so you don't need to switch into it. Moreover, you don't want to try to fit an unnumbered display environment into split inside equation. Furthermore, $$ ... $$ ought not be used in LaTeX anyway. Use \[ ... \] instead. But not here, of course:
\documentclass{article}
\usepackage{amsmath}
\begin{document}
\begin{equation}
\begin{split}
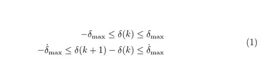
- {\delta _{max}} \le \delta (k) \le {\delta _{max}} \\
- {{\dot \delta }_{\max }} \le \delta (k + 1) - \delta (k) \le {{\dot \delta }_{\max }} \\
\end{split}
\end{equation}
\end{document}

But did you really want the sequence of variables m, a and x? Or did you mean
\documentclass{article}
\usepackage{amsmath}
\begin{document}
\begin{equation}
\begin{split}
- {\delta _{\max}} \le \delta (k) \le {\delta _{\max}} \\
- {{\dot \delta }_{\max }} \le \delta (k + 1) - \delta (k) \le {{\dot \delta }_{\max }} \\
\end{split}
\end{equation}
\end{document}

$$signs which shouldn't be used in LaTeX anyway, but certainly not here. – cfr Oct 04 '16 at 22:10$$which have nothing to do here. Furthermore,$$ … $$isplain texsyntax, and shouldn't be used for displayed equations in latex documents. – Bernard Oct 04 '16 at 22:12$$ ... $$in LaTeX at all: http://tex.stackexchange.com/questions/503/why-is-preferable-to. You should never use any$within anequationenvironment,equationis a math mode environment, it puts you in math mode. So any$after\begin{equation}takes you out of math mode. (The only exception is if you've deliberately taken yourself out of math mode, e.g. by using\text{},\begin{equation} ... \text{because $a = 1$} .. \end{equation}would be fine – Au101 Oct 04 '16 at 22:12$$ ... $$in it which is wrong for the reasons previously explained. In addition it has\end{split}but no\begin{split}. However, this should be rolled back to the original version and a new question asked as @Au101 explained. – cfr Oct 04 '16 at 22:38