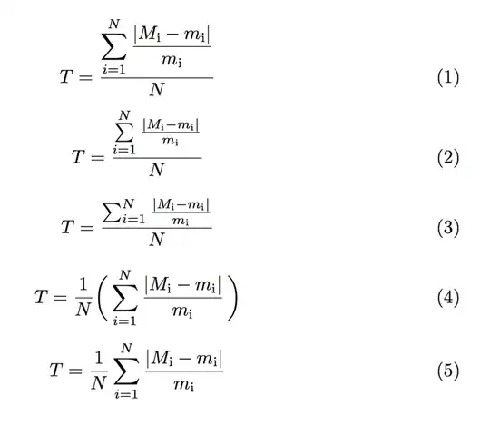
I would like the text, that is i=1 and N, on the summation to be top, and bottom. something like this
I'm using the packages, amsmath, relsize, and physics.
\begin{equation}
\label{eq: TEST}
TEST = \mathlarger{\frac{{\mathlarger{\sum}}_{i=1}^{N}\frac{\abs{M_{\mathrm{i}} - m_{\mathrm{i}}}}{m_{\mathrm{i}}}}{N}}
\end{equation}
Secondly, I get lots of errors for this equation:
./Chapter3/section1.tex:524: Missing $ inserted.<inserted text>
$
l.524
I've inserted a begin-math/end-math symbol since I think
you left one out. Proceed, with fingers crossed.
./Chapter3/section1.tex:524: Display math should end with $$.<to be read again>
\par
l.524
The `$' that I just saw supposedly matches a previous `$$'.
So I shall assume that you typed `$$' both times.
./Chapter3/section1.tex:526: LaTeX Error: Bad math environment delimiter.
./Chapter3/section1.tex:526: You can't use `\eqno' in vertical mode.\endmathdisplay@a ...\df@tag \@empty \else \veqno
\alt@tag \df@tag \fi \ifx ...
l.526 \end{equation}
What am I doing wrong?

amsmath,physicsandrelsize). – egreg Sep 08 '16 at 08:01