Here a user suggested to use the commath package to separate presentation and content. I LOVE separating presentation and content, so I read the documentation and started using this package throughout my work.
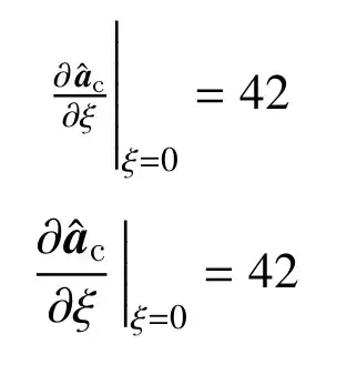
Sadly, I noticed that one of the more frequently used macros - \pd (partial derivative) - produces very ugly result compared to plain old \frac with \partial:

\begin{equation}
\eval{\pd{\hat{\boldsymbol{a}}_\text{c}}{\xi}}_{\xi = 0} =
42
\end{equation}
\begin{equation}
\frac{\partial \hat{\boldsymbol{a}}_\text{c}}{\partial \xi}\sVert[3]_{\xi = 0} =
42
\end{equation}
(Actually this example, although MWE, is not illustrative enough, so here's another couple: \eval
vs \frac
). I use updated TeXLive2016.
So, the questions are (1) am I doing something wrong, because there is no way this is intended typesetting style, and (2) if commath actually IS broken and unmaintained (hey, it's still at v0.3 which is 10 years old), can you suggest another similar package.


