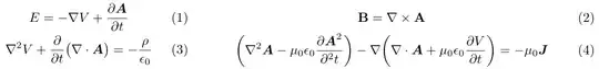
I am trying to typeset Maxwell's equations using a minipage, and can't think of a good way to structure the document so the numbering of equations proceeds across the rows.
\documentclass[]{article}
\begin{document}
\begin{minipage}{.35\linewidth}
\begin{equation}
E = -\nabla V + \frac{\partial \bm{A}}{\partial t}
\end{equation}
\begin{equation}
\nabla^2V+\frac{\partial}{\partial t}\left(\nabla\cdot \bm{A}\right) = -\frac{\rho}{\epsilon_0}
\end{equation}
\end{minipage}%
\begin{minipage}{.65\linewidth}
\begin{equation}
\mathbf{B}=\nabla\times \mathbf{A}
\end{equation}
\begin{equation}
\left(\nabla^2\bm{A}-\mu_0\epsilon_0\frac{\partial\bm{A}^2}{\partial^2t}\right)-\nabla\left(\nabla\cdot \bm{A} + \mu_0\epsilon_0\frac{\partial V}{\partial t}\right)=-\mu_0 \bm{J}
\end{equation}
\end{minipage}
\end{document}
I tried multicol, but didn't find a multicolumn solution as intuitive and flexible as the minipage. Because I'm creating two columns, I'm forced to type the second equation on the left side before the first on the right, and can't see any way around that. Can I manually change the order, or can I structure the columns differently? Thanks.
Edit: These aren't actually Maxwell's Equations. I had two sets of equations like this, and copied the second one by accident.



minipage, then you can order the first row to be numbered (1), (2) followed by (3), (4), rather than (1), (3), (2), (4). – Werner Jul 13 '16 at 16:36