I would like redefine _ like _{\!_{ }} to do subscripts smaller.
I've tried with:
\renewcommand{\_}[1] {_{\!_{#1}}}
But it doesn't work, apparently, maybe I'm wrong. Take this equation, for instance:
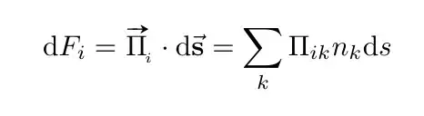
\begin{equation*}
\dd F_i = \vv{\Pi}_{\!_{i}}\cdot\vdiff{s} = \sum\limits_k\Pi_{ik}n_{k}\dd s
\end{equation*}
I like the size of the subscript of \vv{\Pi} much better than that of the other subscripts.





\_to redefine_. (3) You can't redefine_so easily since_is not a macro (control sequence/control character/active character), it's treated in a special way by TeX and its redefinition is a bit tricky. – yo' Jul 11 '16 at 22:23$\Pi_{ik} n_{k}$. The size of the subscripts isn't fine for OP, and it isn't fine for me. Why are you (and others here) treating this like some sort of heresy? Isn't TeX about putting the user in control? – Rhymoid Jul 12 '16 at 11:13