Sorry for the very open question title, but I can't really figure out what is wrong exactly. I wanted to save a little time when writing semantic types, which are usually subscript but are often recursive, leading to types within types, like this:
D<e,<s,t>>
The easiest solution seemed to me to use a boolean which checks whether I am within Type Brackets (<>) already; if so, \type would not use \textsubscript, if not, \type would set the boolean to true and use \textsubscript; the last command in \type would set the boolean to false if it had been false when the command was called. This is a minimal example:
\documentclass{article}
\usepackage{etoolbox}
\newbool{intype}
\newcommand{\type}[1]{\ifbool{intype}{$\langle$#1$\rangle$}{\setbool{intype}{true}\textsubscript{$\langle$#1$\rangle$}}\setbool{intype}{false}}
\begin{document}
D\type{\type{$\tau$,\type{$s,t$}},\type{$\tau$,\type{$s$,$t$}}}
\end{document}
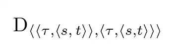
The expected output is D<<τ,<s,t>>,<τ,<s,t>>.
The output I get is D<<τ,<s,t>>,<τ,<s,t>>.
This is really confusing - If my solution doesn't work, why isn't the <s,t> bit in the first pair of brackets lower than the τ?
Sorry for that long line of code btw, as far as I can tell, adding spaces or line breaks produces unwanted spaces in the output.

