The equation I'm trying to write is as follows:

The Latex Code I've written is:
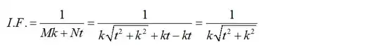
$\text{I.F.}= \frac{1}{Mk+Nt}= \frac{1}{k \sqrt{t^2+k^2}+kt-kt}= \frac{1}{k\sqrt{t^2+k^2}}$
I keep getting the aforementioned error. I've read the answers to an identical question and tried to remove any line from this equation. Still the error persists.

$in anequationenvironment (if this should be the case) – Jun 16 '16 at 09:07