16

This is what i want to write:

enter image description here

And this is my attempt:

:X^{\mu}(z,‎\bar{z}) X^{\nu_{n}}(z^{\prime},‎\bar{z}^{\prime}):

Actually I don't know the command I must write for

enter image description here.

Torbjørn T.
  • 206,688

5 Answers5

10

The fdsymbol font provides a suitable \smallcirc symbol, but it needs to be scaled.

\documentclass{article}
\usepackage{amsmath}

\DeclareFontFamily{U}{FdSymbolA}{}
\DeclareFontShape{U}{FdSymbolA}{m}{n}{
    <-> s*[.28] FdSymbolA-Regular
}{}
\DeclareSymbolFont{fdsymbol}{U}{FdSymbolA}{m}{n}
\DeclareMathSymbol{\smallcirc}{\mathord}{fdsymbol}{"60}

\makeatletter
\newcommand{\hollowcolon}{\mathpalette\hollow@colon\relax}
\newcommand{\hollow@colon}[2]{%
  \mspace{1mu}%
  \vbox{%
    \hbox{$\m@th#1\smallcirc$}
    \nointerlineskip
    \kern.45ex
    \hbox{$\m@th#1\smallcirc$}
    \kern-.06ex
  }%
  \mspace{1mu}%
}
\makeatother

\newcommand{\hcolondel}[1]{%
  \mathopen{\hollowcolon}#1\mathclose{\hollowcolon}%
}
\newcommand{\colondel}[1]{%
  \mathopen{:}#1\mathclose{:}%
}

\begin{document}
\begin{gather*}
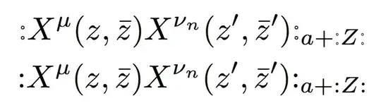
\hcolondel{X^{\mu}(z,\bar{z}) X^{\nu_{n}}(z^{\prime},\bar{z}^{\prime})}_{a+\hcolondel{Z}}
\\
\colondel{X^{\mu}(z,\bar{z}) X^{\nu_{n}}(z^{\prime},\bar{z}^{\prime})}_{a+\colondel{Z}}
\end{gather*}

\end{document}

enter image description here

egreg
  • 1,121,712
9

The symbol “⦂” is \typecolon which you can find the in stix package.

\usepackage{stix}
...
$$ X^\mu (z, \bar z) X^\nu (z', \bar z') = \typecolon X^\mu (z, \bar z) X^\nu (z', \bar z') \typecolon $$

However, stix will change the math font.

stix output


We could extract just this symbol using the trick from How to use only selected math symbols of the STIX fonts?:

\DeclareFontEncoding{LS1}{}{}
\DeclareFontSubstitution{LS1}{stix}{m}{n}
\DeclareSymbolFont{symbols2}{LS1}{stixfrak}{m}{n}
\DeclareMathSymbol{\typecolon}{\mathbin}{symbols2}{"25}

importing just that symbol and use cmr as math font

kennytm
  • 6,392
  • 6
  • 27
  • 18
7

Here I do it with a scaled stack. Works in all math styles.

\documentclass{article}
\usepackage{stackengine,scalerel}
\newcommand\textaltcolon{\ensurestackMath{\stackon[1.5ex]{\circ}{\circ}}}
\newcommand\altcolon{\savestack\Tmp{\raisebox{-.7pt}{$\textaltcolon$}}%
  \dp\Tmpcontent=\dimexpr\dp\Tmpcontent-.7pt\relax%
  \mathrel{\scalerel*{\Tmp}{:}}}
\begin{document}
\[
X^{\mu}(z,‎\bar{z}) X^{\nu_{n}}(z^{\prime},‎\bar{z}^{\prime})\altcolon:
\]
\[
\scriptstyle X^{\mu}(z,‎\bar{z}) X^{\nu_{n}}(z^{\prime},‎\bar{z}^{\prime})\altcolon:
\]
\[
\scriptscriptstyle X^{\mu}(z,‎\bar{z}) X^{\nu_{n}}(z^{\prime},‎\bar{z}^{\prime})\altcolon:
\]
\[A:B\quad A\altcolon B\]
\[A:\quad A\altcolon \quad :B\quad \altcolon B \]
\[
\altcolon:
\scriptstyle \altcolon:
\scriptscriptstyle \altcolon:
\]

\end{document}

enter image description here

Zoom:

enter image description here

  • B.Segletes i write this codes in latex, but it doesn't render. how should i do? – Farhad Razi May 13 '16 at 13:17
  • @FarhadRazi DId you make sure to \usepackage{stackengine,scalerel}? – Steven B. Segletes May 13 '16 at 13:18
  • @ Steven B. Seglets, i don't know what is the problem. i have copied your code, but it doesn't render – Farhad Razi May 13 '16 at 13:29
  • @FarhadRazi Is your LaTeX installation old or out of date? I am able to render in both pdflatex as well as xelatex. Is it only the colons that do not render, or does the whole code not compile? – Steven B. Segletes May 13 '16 at 13:36
  • B.Seglets ,maybe you are right and it is old. the whole code doesnt compile. i think the problem is \usepackage for my latex version. but your code inspired me to write new command and it works, \newcommand{\altcolon}{\substack{\circ \\ \circ}} – Farhad Razi May 13 '16 at 13:50
  • @FarhadRazi Perhaps your installation doesn't know about the packages. You can go to https://www.ctan.org/pkg/scalerel and https://www.ctan.org/pkg/stackengine and download the .sty files to your working directory. – Steven B. Segletes May 13 '16 at 13:55
4

With package pdfrender a stroked font can be simulated.

The following example uses the file from egreg's answer, but replaces \hollowcolon by a stroked version of the colon without using a different font. Despite its name, \textrender changes the rendering of the current font, it does not change or switch fonts and can also be used inside math.

\documentclass{article}
\usepackage{amsmath}
\usepackage{pdfrender}

\newcommand*{\hollowcolon}{%
  \textpdfrender{
    TextRenderingMode=Stroke,
    LineWidth=.1bp,
  }{:}%
}

\newcommand{\hcolondel}[1]{%
  \mathopen{\hollowcolon}#1\mathclose{\hollowcolon}%
}
\newcommand{\colondel}[1]{%
  \mathopen{:}#1\mathclose{:}%
}

\begin{document}
\begin{gather*}
\hcolondel{X^{\mu}(z,\bar{z})
X^{\nu_{n}}(z^{\prime},\bar{z}^{\prime})}_{a+\hcolondel{Z}}
\\
\colondel{X^{\mu}(z,\bar{z})
X^{\nu_{n}}(z^{\prime},\bar{z}^{\prime})}_{a+\colondel{Z}}
\end{gather*}

\end{document}

Result

Heiko Oberdiek
  • 271,626
0

⦂ Z NOTIONAL TYPE COLON

Code for undetermined script

Miscellaneous Mathematical Symbols-B Unicode Version 3.2

Unicode U+2982

HTML &#10626 &#x2982. Add ;!s after!!

CSS 2982

UTF-8 0xE2 0xA6 0x82 UTF-16 0x2982 UTF-32 0x00002982