I am having problems using align. I would like my equations and text to all line up. The first equation is displayed fine, but the next few go off the side of the page. Here is my code:
\documentclass[12pt, letterpaper]{article}
\usepackage{amssymb, amsmath}
\usepackage[utf8]{inputenc}
\usepackage{setspace}
\setlength{\parskip}{1.2ex}
\setlength{\parindent}{2em}
\begin{document}
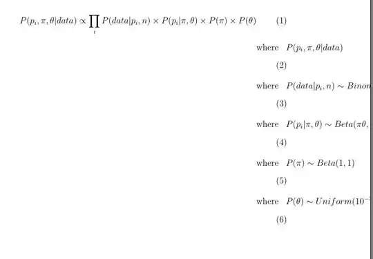
\begin{align}
P(p_{i}, \pi, \theta| data) \propto \prod_{i} P(data| p_{i}, n)\times P(p_{i}|\pi,\theta)\times P(\pi)\times P(\theta)\\
\text{where} & P(p_{i}, \pi, \theta| data) & \text{is the \textbf{posterior} distribution}\\
\text{where} & P(data| p_{i}, n) \sim Binomial(p, n=10^{6}) & \text{ is the \textbf{Likliehood}}\\
\text{where} & P(p_{i}|\pi,\theta) \sim Beta(\pi\theta, (1-\pi)\theta)\\
\text{where} & P(\pi) \sim Beta(1,1) & \text{ is the initial \textbf{prior} distribution}\\
\text{where} & P(\theta) \sim Uniform(10^{-3}, 10^{4}) & \text{ is the distribution used to draw samples of \textbf{precision} for the Beta distribution}
\end{align}
\end{document}
This code is giving me something like this:

But I would like it all to stay within the page.



&) in the first line, so everything is placed in the first column. – Torbjørn T. May 10 '16 at 05:44=in consecutive lines. – Torbjørn T. May 10 '16 at 05:48