How to get this format?
I want to get this strictly.
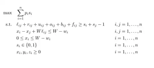
Thanks for the answer in advance. Here it is my code
\begin{alignat*}{9}
\hspace{30 mm}\text{maximize } & \sum_{i=1}^N d_i U_i \\
\text{s.t.}\quad&&l_{ij}&{}+{}r_{ij}{}+{}u_{ij}{}+{}o_{ij} &\;\geqslant\;&s_{i}{}+{}s_{j}{}-{}1\\
& &x_i&{}-{}x_j{}+{}Wl_{ij}\;\leqslant &\;&W{}-{}w_{i} \\
&&&x_j{}-{}& x_i&{}+{}&W&r_{ij}&\;\leqslant &\;&W&{}-{}&w_{j} \\
&&y_i&{}-{}& y_j&{}+{}&H&u_{ij}&\;\leqslant &\;&H&{}-{}&h_{i} \\
&&y_j&{}-{}& y_i&{}+{}&H&o_{ij} &\;\leqslant &\;&H&{}-{}&h_{j} \\
%& \rlap{$x_j \geqslant 0,\; j=1,2,3.$}\\
&&0\leqslant x_i\leqslant &W{}-{}w_i & \\
&&0\leqslant y_i\leqslant &H{}-{}h_i & \\
& \displaystyle &l_{ij},&r_{ij},&u_{ij},&o_{ij}&\;\in&\; &\{0,1\}\\
& \displaystyle &s_{i}&&\;\in&\; &\{0,1\}
\end{alignat*}


