I want to use different symbols instead of Sigma for \sum and the like. I tried
\mathop{\Lambda}\limits^n_{i=1}
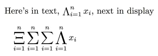
But the symbol is small compared to \sum
Then I tried the relsize package
\mathop{\mathlarger{\mathlarger{\mathlarger{\mathlarger{\Lambda}}}}}\limits^n_{i=1}
But then it throws off the baseline
Ideally I want the two to be vertically aligned.
Any help is appreciated.
EDIT: Both answers are great. But both have some scaling problems
Steven's solution is too big in display mode:
$$\sum_{i=1}^n \bigGreek{\Lambda}_{i=1}^n\foo_{i=1}^n \sum_{i=1}^n$$
egreg's solution is too small in inline mode (removed limits for clearer comparison)
Inline: $\sum \bigGreek{\Lambda} \foo \sum$
In practice, I probably will be using a combination of both. Unfortunately I can only accept one answer, and my OP was in display mode.





