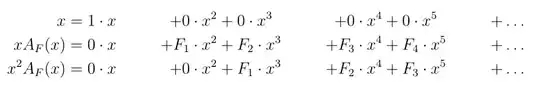
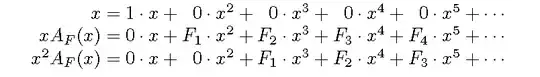
I have three long sums (series) on three lines and want all plus signs be aligned vertivally just like in LaTeX code.
\begin{align}
x &= 1 \cdot x &+ 0 \cdot x^2 &+ 0 \cdot x^3 &+ 0 \cdot x^4 &+ 0 \cdot x^5 &+ \ldots \\
x A_F(x) &= 0 \cdot x &+ F_1 \cdot x^2 &+ F_2 \cdot x^3 &+ F_3 \cdot x^4 &+ F_4 \cdot x^5 &+ \ldots \\
x^2 A_F(x) &= 0 \cdot x &+ 0 \cdot x^2 &+ F_1 \cdot x^3 &+ F_2 \cdot x^4 &+ F_3 \cdot x^5 &+ \ldots
\end{align}


