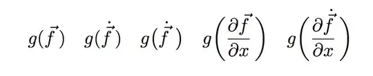
It seems like \vec makes \left( and \right) expand in an ugly fashion:
\begin{align*}
\ g(\vec{f})
\ g\!\left(\dot{f}\right)
\ g\!\left(\dot{\vec{f}}\right)
\ g\!\left(\vec{f}\right)
\ g\!\left(f^2\right)
\ g\!\left(\dot{f}^2\right)
\ g\!\left(\vec{f}^2\right)
\ g\!\left(\vec{f}\right)
\ g\!\left(\frac{\partial f}{\partial t}\right)
\ g\!\left(\frac{\partial \vec{f}}{\partial t}\right)
\end{align*}
What happens is that there is too much whitespace underneath the letter, which is rather... jarring.
Interestingly, while \dot, etc. do the same thing, superscripts don't.
How can I prevent this from happening given that I need to use \left( and \right)?



g(\vec{f}\,)Fine spacing is often necessary when coping with clashing symbols. – egreg Feb 28 '16 at 22:32