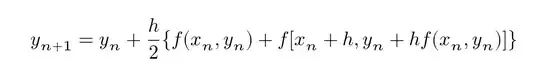
I have the following formula:
Is there an elegant way to make the matching brackets of one level a little bigger than the matching brackets of the previous one?
Normal -> () -> Bigger -> [] Bigger -> {}
\documentclass{article}
\usepackage{parskip}
\setlength{\parindent}{0cm}
\usepackage{amsmath}
\usepackage{unicode-math}
\usepackage{fontspec}
\usepackage[greek,english]{babel}
\setmainfont
[
Ligatures=TeX,
Extension=.otf,
UprightFont=*,
BoldFont=*Bold,
ItalicFont=*It,
BoldItalicFont=*BoldIt,
Mapping=tex-text
]{GFSArtemisia}
\setsansfont[Mapping=tex-text]{GFSArtemisia.otf}
\setmathfont{latinmodern-math.otf}
\setmathfont[range=\varnothing]{Asana-Math.otf}
\setmathfont[range=\int]{latinmodern-math.otf}
\usepackage{lipsum}
\begin{document}
Formula:
%
\Eqs
{
y_{n+1}=y_{n}+\frac{h}{2}\{f(x_{n},y_{n})+f[x_{n}+h,y_{n}+hf(x_{n},y_{n})]\}
}
\end{document}

\left-\right-paired delimiters. I guess for that reason the mentioned solution won't work with the equation given in the example here. I have something in mind, but I dont know if it can be regarded as elegant, as the OP requested... – Ruben Feb 11 '16 at 03:48