Please make sure to include a full minimal working example as stated in the comments. It makes it much more rapid and easy for people to help you.
However I think your code can be improved. \text{} is used to include text into math-mode. But you've beforehand left math-mode by "closing" the formula block with $. Therefore you don't need it. That is what caused an error message by the way. Also, as stated in the comments you don't need \\ in enumerations.
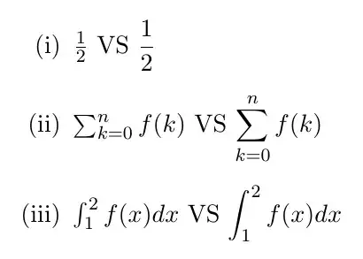
I think the following code should give you the desired output:
\documentclass[11pt,a4paper,twoside]{article}
\usepackage{enumerate}
\begin{document}
\begin{enumerate}[(i)]
\item $\frac{1}{2}$ VS $\displaystyle \frac{1}{2}$
\item $\sum_{k=0}^{n} f(k)$ VS $\displaystyle \sum_{k=0}^{n} f(k)$
\item $\int_{1}^{2} f(x)dx$ VS $\displaystyle \int_{1}^{2} f(x)dx$
\end{enumerate}
\end{document}
Which looks like the following:

Edi: I've just noticed that they're not really truly aligned. The enumeration type (i) (ii) etc. might be also a problem since it's progressively getting larger and therefore shifting the alignment.
Anyways i've found a question on here, which is actually quite similar to yours:
Sharing alignment between equations in two different items
So i think this question might be a duplicate.
\documentclasscommand, has a minimal preamble and then\begin{document}...\end{document}. Unless the problem is a compilation error, the code should compile and be as small as possible to demonstrate your problem. This makes it much easier for people to help you --- and much ore likely that they will! – Feb 06 '16 at 07:30enumerate. Removing the should give a better result. – Przemysław Scherwentke Feb 06 '16 at 08:18$is on wrong place. Move it on the end of row! – Zarko Feb 06 '16 at 11:07