The above one is done by Word, the below equation is done by LaTeX. How can I get the compact form like Word "globally"?
Here's my code: Please take a look at and give me some advice ....
thank you
\documentclass[a5paper, 10pt, twoside]{book}
\usepackage{geometry}
\geometry{voffset=10pt, tmargin=1.2cm, bmargin=1.5cm, lmargin=2cm, rmargin=1.5cm }
\begin{document}
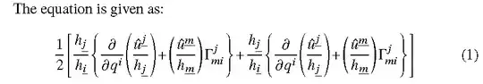
The equation is given as:
\begin{equation}
\frac{1}{2} \left[ \frac{h_{\underline j}}{h_{\underline i}} \left\{ \frac{\partial}{\partial q^i} \left( \frac{\hat{u}^{\underline j}}{h_{\underline j}} \right) + \left( \frac{\hat{u}^{\underline m}}{h_{\underline m}} \right) \Gamma^j_{mi} \right\} + \frac{h_{\underline j}}{h_{\underline i}} \left\{ \frac{\partial}{\partial q^i} \left( \frac{\hat{u}^{\underline j}}{h_{\underline j}} \right) + \left( \frac{\hat{u}^{\underline m}}{h_{\underline m}} \right) \Gamma^j_{mi} \right\} \right]
\end{equation}
\end{document}




