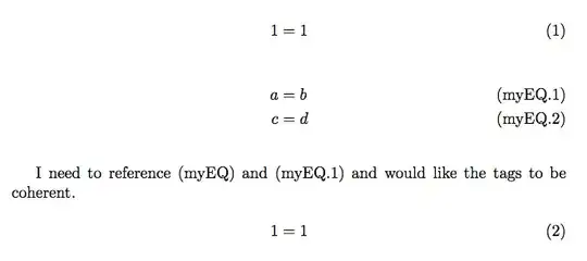
I have a similar subequations environment as in the mwe
\documentclass{article}
\usepackage{amsmath}
\begin{document}
\begin{subequations}\label{eq:w} %\tag{myEQ}
\begin{align}
a &= b \label{eq:s1} \tag{myEQ.1}\\ %\tag{\ref{eq:w} 1}
c &= d \label{eq:s2} \tag{myEQ.2} %\tag{\ref{eq:w} 2}
\end{align}
\end{subequations}
I need to reference \eqref{eq:w} and \eqref{eq:s1} and
would like the tags to be coherent
\end{document}
I found this related question where the numbering within
the subequation is automated. However, that is not my concern,
rather then the fact that \eqref{eq:w} should show (myEQ) rather than (1).


subequationsjust change the counter, how shouldeq:qknow that you are using\tag, you'd probably need to make your own version ofsubequationsthat allows the user to add a prefix to the autogenerated equation numbers, and then not use\tag– daleif Dec 22 '15 at 15:58\def\@currentlabel{myEQ}in the accepted answer is the way to achieve the functionality... – Davide Dec 22 '15 at 18:20