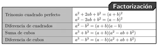
I am using colortbl and booktabs to make the following table with tcolorbox
\documentclass{standalone}
\usepackage[utf8]{inputenc}
\usepackage[many]{tcolorbox}
\usepackage{booktabs}
\usepackage{colortbl}
\usepackage{multirow}
\tcbset{
enhanced,
title=Factorización,
colbacktitle=black,
coltitle=white,
fonttitle=\sffamily\bfseries\Large,
attach boxed title to top right={yshift=-8pt},
boxed title style={
enhanced,
boxrule=0.4mm,
frame code={ \path[tcb fill frame,black] (frame.south west) -- ([yshift=-7pt]frame.north west) -- ([xshift=7pt]frame.north west) -- (frame.north east) -- ([yshift=7pt]frame.south east) -- ([xshift=-7pt]frame.south east);},
interior code={ \path[tcb fill interior,black!75] (interior.south west) -- ([yshift=-7pt]interior.north west) -- ([xshift=7pt]interior.north west) -- (interior.north east) -- ([yshift=7pt]interior.south east) -- ([xshift=-7pt]interior.south east);} },
leftrule=0mm,
toprule=0mm,
colframe=black,
colback=white,
coltext=black,
arc=0pt,
boxsep=0mm,
left=0mm,
right=0mm,
bottom=0mm,
width=12cm,
}
\usepackage{array}
\newcolumntype{P}[1]{>{\centering\arraybackslash}p{#1}}
\renewcommand{\familydefault}{\sfdefault}
\begin{document}
\begin{tcolorbox}
\begin{tabular}{
>{\columncolor{gray!50}}P{5cm}|
P{7cm}
}
\addlinespace[1mm]
& $a^{2}+2ab+b^{2}=(a+b)^{2}$ \\
\multirow{2}{*}[12pt]{Trinomio cuadrado perfecto} & $a^{2}-2ab+b^{2}=(a-b)^{2}$ \\
\hline
Diferencia de cuadrados & $a^{2}-b^{2}=(a+b)(a-b)$ \\
\hline
Suma de cubos & $a^{3}+b^{3}=(a+b)(a^{2}-ab+b^{2})$ \\
\hline
Diferencia de cubos & $a^{3}-b^{3}=(a-b)(a^{2}+ab+b^{2})$ \\
\end{tabular}
\end{tcolorbox}
\end{document}
Maybe I am very picky but you can see that the exponents in the second, third and fourth row are touching the \hline so in order to solve this I add extra vertical space using \addlinespace in each row but unfortunately I get this
with this code
\begin{tcolorbox}
\begin{tabular}{
>{\columncolor{gray!50}}P{5cm}|
M{7cm}
}
\addlinespace[1mm]
& $a^{2}+2ab+b^{2}=(a+b)^{2}$ \\
\multirow{2}{*}[12pt]{Trinomio cuadrado perfecto} & $a^{2}-2ab+b^{2}=(a-b)^{2}$ \\
\hline
\addlinespace[0.8mm]
Diferencia de cuadrados & $a^{2}-b^{2}=(a+b)(a-b)$ \\
\hline
\addlinespace[0.8mm]
Suma de cubos & $a^{3}+b^{3}=(a+b)(a^{2}-ab+b^{2})$ \\
\hline
\addlinespace[0.8mm]
Diferencia de cubos & $a^{3}-b^{3}=(a-b)(a^{2}+ab+b^{2})$ \\
\end{tabular}
\end{tcolorbox}
How can I solve this vertical and color issue.



multirowbut use of\addlinespacefrombooktabs. For possible solution see my answer below. – Zarko Dec 16 '15 at 21:58Package minted Error: You must have 'pygmentize' installed to use this package. \begin{document}How can I solve this? I've seen all the similars answers to my problem but nothing works – Very23 Dec 16 '15 at 22:01minted.. i have similar problem width it, unfortunately I didn't solve the problem myself ... I need to ask my system administrator, how he managed this problem. Since I'm temporary abroad, I can't ask him for help. I'm sure, that in SE is somewhere answer how to install it. If you cannot find, just ask new question about it. – Zarko Dec 16 '15 at 22:12tcolorbox,mdframed, coloring of listings is good idea to install python and activate minted is worth of effort. – Zarko Dec 16 '15 at 22:40