Create a new line:
\documentclass{article}
\usepackage{amsmath}
\begin{document}
\begin{alignat*}{2}
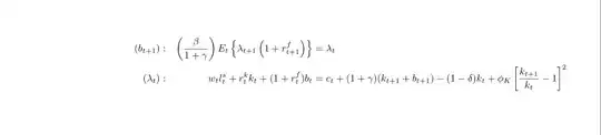
(b_{t+1}) &:\quad &
\left(\frac{\beta}{1 + \gamma}\right)
E_{t}\left\{\lambda_{t+1}\left(1 + r_{t+1}^{f}\right)\right\}
&= \lambda_{t}\\
(\lambda_{t}) &:\quad &
w_{t}l_{t}^{s} + r_{t}^{k}k_{t} + (1 + r_{t}^{f})b_{t}
&= c_{t} + (1 + \gamma)(k_{t+1} + b_{t+1}) \\
&&& \qquad{}-(1 -\delta)k_{t} + \phi_{K}\left[\frac{k_{t+1} }{k_{t}} - 1\right]^{2}
\end{alignat*}
\end{document}

If you want the alignment you'd like, add an alignment point:
\documentclass{article}
\usepackage{amsmath}
\begin{document}
\begin{alignat*}{3}
(b_{t+1}) &:\quad &
\left(\frac{\beta}{1 + \gamma}\right)
E_{t}\left\{\lambda_{t+1}\left(1 + r_{t+1}^{f}\right)\right\}
&= \lambda_{t}\\
(\lambda_{t}) &:\quad &
w_{t}l_{t}^{s} + r_{t}^{k}k_{t} + (1 + r_{t}^{f})b_{t}
&= c_{t} &&+ (1 + \gamma)(k_{t+1} + b_{t+1}) \\
&&&&&-(1 -\delta)k_{t} + \phi_{K}\left[\frac{k_{t+1} }{k_{t}} - 1\right]^{2}
\end{alignat*}
\end{document}

A different possibility might be avoiding the awkward alignment between the equals signs:
\documentclass{article}
\usepackage{amsmath}
\begin{document}
\begin{align*}
(b_{t+1}) &:\quad
\left(\frac{\beta}{1 + \gamma}\right)
E_{t}\left\{\lambda_{t+1}\left(1 + r_{t+1}^{f}\right)\right\}
=\lambda_{t}\\
(\lambda_{t}) &:\quad
w_{t}l_{t}^{s} + r_{t}^{k}k_{t} + (1 + r_{t}^{f})b_{t} \\
&\quad\qquad= c_{t} + (1 + \gamma)(k_{t+1} + b_{t+1})
-(1 -\delta)k_{t} + \phi_{K}\left[\frac{k_{t+1} }{k_{t}} - 1\right]^{2}
\end{align*}
\end{document}

This alternative could be useful in case you want to number those equations, because it allows split:
\documentclass{article}
\usepackage{amsmath}
\begin{document}
\begin{align}
(b_{t+1}) &:\quad
\left(\frac{\beta}{1 + \gamma}\right)
E_{t}\left\{\lambda_{t+1}\left(1 + r_{t+1}^{f}\right)\right\}
=\lambda_{t}\\
\begin{split}
(\lambda_{t}) &:\quad
w_{t}l_{t}^{s} + r_{t}^{k}k_{t} + (1 + r_{t}^{f})b_{t} \\
&\quad\qquad= c_{t} + (1 + \gamma)(k_{t+1} + b_{t+1})
-(1 -\delta)k_{t} + \phi_{K}\left[\frac{k_{t+1} }{k_{t}} - 1\right]^{2}
\end{split}
\end{align}
\end{document}