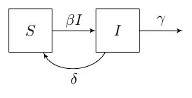
Something like this?

I had to define int style and include arrows library for latex'.
I've also replaced right of with the new syntax (positioning library) righ= of (see: Difference between "right of=" and "right=of" in PGF/TikZ)
For arrows going out of the box I've used a coordinate node although some other solutions are also possible.
\documentclass[tikz,border=2mm]{standalone}
\usetikzlibrary{arrows,positioning}
\begin{document}
\begin{tikzpicture}[node distance=1cm,auto,>=latex',every node/.append style={align=center},int/.style={draw, minimum size=1cm}]
\node [int] (S) {$S$};
\node [int, right=of S] (I) {$I$};
\coordinate[right=of I] (out);
\path[->, auto=false] (S) edge node {$\beta I$ \\[.2em]} (I)
(I) edge node {$\gamma$ \\[.2em] } (out) edge [out=-120, in=-60] node[below] {$\delta$} (S);
\end{tikzpicture}
\end{document}
Update:
Torbjørn T. proposed some more improvements to your code:
Replacing syntax node {$\beta I$ \\[.2em]} with simply node[above] {$\beta I$} which is the TiKZ way for placing an edge label above the arrow. In this case, as you already included auto option, there's no need for [above] because edge labels are automatically placed following arrow direction. You stopped this automatism with auto=false.
Using new arrows.meta library instead of deprecated (although still supported) arrows. As an example, latex' style has been replaced by Latex
The new code is:
\documentclass[tikz,border=2mm]{standalone}
\usetikzlibrary{arrows.meta,positioning}
\begin{document}
\begin{tikzpicture}[node distance=1cm, auto,
>=Latex,
every node/.append style={align=center},
int/.style={draw, minimum size=1cm}]
\node [int] (S) {$S$};
\node [int, right=of S] (I) {$I$};
\coordinate[right=of I] (out);
\path[->] (S) edge node {$\beta I$} (I)
(I) edge node {$\gamma$} (out)
edge[out=-120, in=-60] node {$\delta$} (S);
\end{tikzpicture}
\end{document}
intis not defined. – Bibi Dec 10 '15 at 16:28