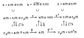
I am trying to draw the following commutative diagram.
I tried to start with the following commands,
\documentclass[12pt,a4paper,footinclude=true,headinclude=true,openany]{scrbook}
\usepackage{tikz-cd,amsmath}
\begin{document}
\begin{tikzcd}
D(T)=N(T)\oplus C_PT \arrow[l,shift left] [r]{www} & R(T)\oplus N(Q) \arrow [d]\arrow {r}& 1\
& d &
\end{tikzcd}
\end{document}
But I am getting the following errors,
pgfkeys: I do not know the key '/tikz/l' and I am going to ignore it. Perhaps you misspelled it. \end{tikzcd}
Missing number, treated as zero \end{tikzcd}
pgfkeys: I do not know the key '/tikz/d' and I am going to ignore it. Perhaps you misspelled it. \end{tikzcd}
Questions:
How to correct these errors.
How to get the union symbol in that diagram in tikz-cd?


\arrow[l,shift left] [r]{www}is wrong for sure. You are mixing different syntaxes here. This arrow has a left and a right specifier. – LaRiFaRi Nov 30 '15 at 12:23