I have a list of equations of which one is probably slightly larger than a certain threshold. This somehow results in the equation being given more vertical space above it than the others.
What can I do to make this equation behave like all the others in terms of vertical space above?
I am using XeTeX, Version 3.1415926-2.5-0.9999.3 (MiKTeX 2.9 64-bit) (preloaded format=xelatex 2015.4.29).
Minimal working example follows.
\documentclass[12pt,a4paper]{article}
\usepackage{fullpage}
\begin{document}
\begin{equation}
\sum_{e \in \mathcal{E}}\sum_{f \in \mathcal{F}} k_{ef} + \sum_{d \in \mathcal{D}} x_{abcd} + T_{abc} \leq 1 \quad \forall a \in \mathcal{A}, b \in \mathcal{B}, c \in \mathcal{C}
\end{equation}
\begin{equation}
w_{abc} \leq \sum_{g \in \mathcal{G}} g_{abcg} \quad \forall a \in \mathcal{A}, b \in \mathcal{B}, c \in \mathcal{C}
\end{equation}
\begin{equation}
X_{abcd} - \Delta^{+}_{abcd} + \Delta^{-}_{abcd} - x_{abcd} = 0 \quad \forall a \in \mathcal{A}, b \in \mathcal{B}, c \in \mathcal{C}, d \in \mathcal{D}
\end{equation}
\begin{equation}
Y_{abcdef} - \Delta^{-}_{abcdef} + \Delta^{+}_{abcdef} - y_{abcdef} = 0 \quad \forall a \in \mathcal{A}, b \in \mathcal{B}, c \in \mathcal{C}, d \in \mathcal{D}, e \in \mathcal{E}, f \in \mathcal{F}
\end{equation}
\end{document}
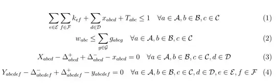
This results in the following output. Note the excessive vertical space between (3) and (4).


subequationsenvironments in my list which exhibit the same spacing problem when removing the empty lines. – Chris Sep 24 '15 at 15:09gatherenvironment! – egreg Sep 24 '15 at 15:10