The \DeclareMathOperator function is for defining a quite narrow kind of objects; for instance \log, \exp, \sin or \max use (an equivalent form of) it. So it's for defining function symbols that should consist of letters in the same shape as normal text, as opposed to math italic.
Basically \DeclareMathOperator{\foo}{blurb} does something like
\newcommand{\foo}{\mathop{\mathrm{blurb}}
(I just omit irrelevant technical complications). The \mathop bit is what produces the peculiar spacing around operator names; for instance there is a space in $\log x$, but not in $\log(xy)$. Of course,\mathrm` is what selects upright letters.
The input
\documentclass{article}
%\usepackage{amsmath}
\begin{document}
$\mathrm{\vec{i}}$
\end{document}
produces

but as soon as we uncomment the loading of amsmath we get

The tilde instead of an arrow is a “feature”1 in amsmath, then.
What you need is
\newcommand{\Vi}{\vec{i}}
or, maybe better,
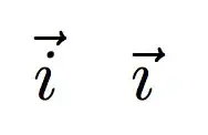
\newcommand{\Vi}{\vec{\imath}}
where the “i” loses its dot.

1 It's not the only “feature” of amsmath related to math accents. The word “feature” is used in its common meaning of “bug”.
\Viwith\DeclareMathOperator? If your aim is to have an upright “i”, then\newcommand{\Vi}{\vec{\mathrm{i}}}is what you need. – egreg Sep 22 '15 at 14:53\DeclareMathOperator?" What is your desired outcome? – darthbith Sep 22 '15 at 14:59\DeclareMathOperatoris for very particular objects such as\log,\maxor\sin. You just need\newcommand{\Vi}{\vec{i}}, probably, or better,\newcommand{\Vi}{\vec{\imath}}– egreg Sep 22 '15 at 14:59\operator@fontis interfering with the math accent. Did I just got lucky with http://tex.stackexchange.com/a/261966/82917? – campa Sep 22 '15 at 15:06