I just started using pandoc and I followed every step in this page.
First of all we create a text file named test1.md.txt
# Test!
This is a test of *pandoc*.
- list one
- list two
Convert it to a tex file using the code:
pandoc test1.md.txt -s -o test1.tex
we get:
\documentclass[]{article}
\usepackage{lmodern}
\usepackage{amssymb,amsmath}
\usepackage{ifxetex,ifluatex}
\usepackage{fixltx2e} % provides \textsubscript
\ifnum 0\ifxetex 1\fi\ifluatex 1\fi=0 % if pdftex
\usepackage[T1]{fontenc}
\usepackage[utf8]{inputenc}
\else % if luatex or xelatex
\ifxetex
\usepackage{mathspec}
\usepackage{xltxtra,xunicode}
\else
\usepackage{fontspec}
\fi
\defaultfontfeatures{Mapping=tex-text,Scale=MatchLowercase}
\newcommand{\euro}{€}
\fi
% use upquote if available, for straight quotes in verbatim environments
\IfFileExists{upquote.sty}{\usepackage{upquote}}{}
% use microtype if available
\IfFileExists{microtype.sty}{%
\usepackage{microtype}
\UseMicrotypeSet[protrusion]{basicmath} % disable protrusion for tt fonts
}{}
\ifxetex
\usepackage[setpagesize=false, % page size defined by xetex
unicode=false, % unicode breaks when used with xetex
xetex]{hyperref}
\else
\usepackage[unicode=true]{hyperref}
\fi
\usepackage[usenames,dvipsnames]{color}
\hypersetup{breaklinks=true,
bookmarks=true,
pdfauthor={},
pdftitle={},
colorlinks=true,
citecolor=blue,
urlcolor=blue,
linkcolor=magenta,
pdfborder={0 0 0}}
\urlstyle{same} % don't use monospace font for urls
\setlength{\parindent}{0pt}
\setlength{\parskip}{6pt plus 2pt minus 1pt}
\setlength{\emergencystretch}{3em} % prevent overfull lines
\providecommand{\tightlist}{%
\setlength{\itemsep}{0pt}\setlength{\parskip}{0pt}}
\setcounter{secnumdepth}{0}
\date{}
% Redefines (sub)paragraphs to behave more like sections
\ifx\paragraph\undefined\else
\let\oldparagraph\paragraph
\renewcommand{\paragraph}[1]{\oldparagraph{#1}\mbox{}}
\fi
\ifx\subparagraph\undefined\else
\let\oldsubparagraph\subparagraph
\renewcommand{\subparagraph}[1]{\oldsubparagraph{#1}\mbox{}}
\fi
\begin{document}
\section{Test!}\label{test}
This is a test of \emph{pandoc}.
\begin{itemize}
\tightlist
\item
list one
\item
list two
\end{itemize}
\end{document}
When we try to convert this final tex file to a docx file, its done appropriately:
pandoc test1.tex -s -o test1.docx
we get the result as:
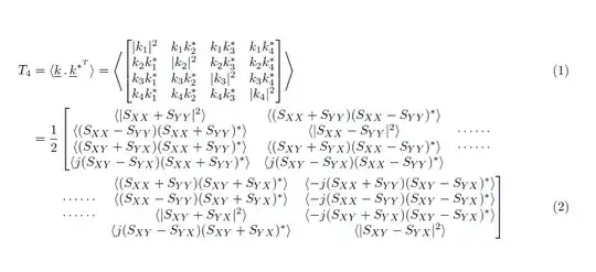
but now I have my own tex code named as equation.tex
\documentclass{article}
\usepackage[margin=1in]{geometry}% Just for this example
\usepackage{amsmath}
\begin{document}
\begin{align}
T_4 &= \langle \underline{k}\,.\,\underline{k}^{*^T} \rangle=
\left\langle
\begin{bmatrix}
|k_1|^2 & k_1k_2^* & k_1k_3^* & k_1k_4^* \\
k_2k_1^* & |k_2|^2 & k_2k_3^* & k_2k_4^* \\
k_3k_1^* & k_3k_2^* & |k_3|^2 & k_3k_4^* \\
k_4k_1^* & k_4k_2^* & k_4k_3^* & |k_4|^2
\end{bmatrix}
\right\rangle \\
&= \frac{1}{2}
\left[\begin{matrix}
\langle|S_{XX}+S_{YY}|^2\rangle &
\langle(S_{XX}+S_{YY})(S_{XX}-S_{YY})^*\rangle &\\
\langle(S_{XX}-S_{YY})(S_{XX}+S_{YY})^*\rangle &
\langle|S_{XX}-S_{YY}|^2\rangle & \cdots\cdots\\
\langle(S_{XY}+S_{YX})(S_{XX}+S_{YY})^*\rangle&
\langle(S_{XY}+S_{YX})(S_{XX}-S_{YY})^*\rangle & \cdots\cdots\\
\langle j(S_{XY}-S_{YX})(S_{XX}+S_{YY})^*\rangle &
\langle j(S_{XY}-S_{YX})(S_{XX}-S_{YY})^*\rangle &
\end{matrix}\right. \nonumber \\
& \phantom{{}= \frac{1}{2}}
\left.\begin{matrix}
& \langle(S_{XX}+S_{YY})(S_{XY}+S_{YX})^*\rangle
& \langle -j(S_{XX}+S_{YY})(S_{XY}-S_{YX})^*\rangle\\
\cdots\cdots& \langle(S_{XX}-S_{YY})(S_{XY}+S_{YX})^*\rangle
& \langle -j(S_{XX}-S_{YY})(S_{XY}-S_{YX})^*\rangle\\
\cdots\cdots& \langle|S_{XY}+S_{YX}|^2\rangle
& \langle-j(S_{XY}+S_{YX})(S_{XY}-S_{YX})^*\rangle\\
& \langle j(S_{XY}-S_{YX})(S_{XY}+S_{YX})^*\rangle
& \langle|S_{XY}-S_{YX}|^2\rangle
\end{matrix}\right]
\end{align}
\end{document}
And try to convert it to a docx file:
pandoc equation.tex -s -o equation.docx
I get the result:

This code is fine when used in latex and it does produce the proper pdf file
why doesn't pandoc create the write docx file and it just writes the latex codes in the docx file?

pandocto parse. Do you really need this formula in Word, or could you also import it as a figure? – Habi Aug 11 '15 at 13:36htlatex file.tex html "--interaction=nonstopmode". Seems that there's no way. even htlatex produces an image of the equation not mathml code?!!!! – Sepideh Abadpour Aug 11 '15 at 14:15LaTeX. – Habi Aug 11 '15 at 15:11