I usually use the subequations environment with a nested alignso I can have nicely aligned equations with that neat 1a, 1b, 1c, etc. numbering and that's fine. But now I would want to still align those multiple equations but have different groups, like:
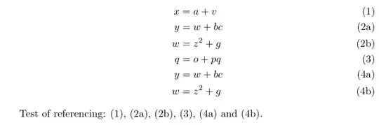
x = a + v (1)
y = w + bc (2a)
w = z^2 + g (2b)
q = o + pq (3a)
r = s^t (3b)
I used just random stuff for the sake of this question. So, what I want to is align all this equations using the same technique (& characters) we use on align environment and keep that separate subequation groups. Is it possible?
EDIT
So with the help of @Zarko the alignment was solved (that's actually all I asked for) but, what about referencing the equations without the letters? I need something like this:
The equations \ref{eq:first} to \ref{eq:last} show something interesting:
\begin{align}
x &= a + v \label{eq:first} \\
y &= w + bc \tag{\addtocounter{equation}{1}\theequation a} \\
w &= z^2 + g \tag{\theequation b} \\
q &= o + pq \tag{\addtocounter{equation}{1}\theequation a} \label{eq:last}\\
r &= s^t \tag{\theequation b}
\end{align}
in this case, \ref{eq:last} will turn into !3aand I need just 3.

amsmathdoesn't allow two tags nor two labels for one equation. – Zarko Aug 09 '15 at 23:29