The vertical placement of the figure can be done in many different ways.
There is option baseline. Setting it to the center of the image (current bounding box.center) puts the middle on the current baseline of the surrounding text. The third example will show a way to center the image around the current math axis.
The second image puts the leafs on the same base line as the surrounding text.
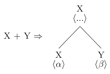
The third image uses macro \VCenter to center the image around the math axis. The text before looks more like an equation. The centering is done via the TeX primitive \vcenter.
Additionally the nodes contain the angle brackets in a second line.
Full example:
\documentclass[12pt,a4paper]{article}
\usepackage{tikz-qtree}
\usepackage{tikz-qtree-compat}
\newcommand*{\VCenter}[1]{%
\ensuremath{%
\vcenter{%
\hbox{#1}%
}%
}%
}
\begin{document}
X + Y $\Rightarrow$
\begin{tikzpicture}[baseline=(current bounding box.center)]
\Tree [.X X Y ]
\end{tikzpicture}
\bigskip
\underline{X + Y $\Rightarrow$
\begin{tikzpicture}[baseline=(X.base)]
\Tree [.X \node(X){X}; Y ]
\end{tikzpicture}}
\bigskip
X + Y $\Rightarrow$
\VCenter{\begin{tikzpicture}[
every node/.append style={align=center},
level distance=50pt,
]
\Tree [ .\node{X\\$\langle\ldots\rangle$};
\node{X\\$\langle\alpha\rangle$};
\node{Y\\$\langle\beta\rangle$};
]
\end{tikzpicture}}
\end{document}

forestcan be used as well. – user202729 Jun 05 '22 at 12:32