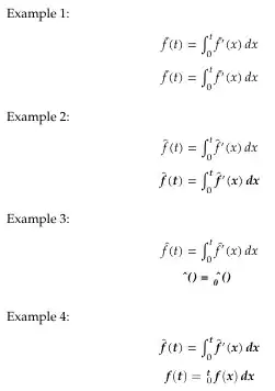
There are several questions on this site about \boldmath with unicode-math. As Example 1 below shows, \boldmath does not in general work for unicode fonts with a MATH table, unless there is a specific bold version of the math font. So far, I have not found one for any fonts except XITS Math; from what I have heard, Lucida has one, too, but it is not free. How can I set the \boldmath font with unicode-math? provides an ugly solution that only works for XeLaTeX. Since I am using LuaLaTeX, I am looking for something else (and prettier).
Bold italic math with unicode-math contains a solution to get it to work using unicode fonts without a proper MATH table. The solution also works for fonts with a proper MATH table, provided you replace the math font with the italic text font (see Example 2). As the example shows, the accent (\hat) does not look good in this case.
So the preferable solution would be:
- Ordinary, non-bold math should be typeset using TeX Gyre Pagella Math
\boldmathmath should be typeset using the bold italic text font TeX Gyre Pagella Bold Italic
I tried that in Example 3 below, but it seems text and math fonts do not work together in this case, for integral signs and everything else break.
Finally, I tried in Example 4 to play around with version=bold, but curiously, this makes all math bold. Is this a bug?
Can someone get this to work for me?
% !TeX program=luatex
\documentclass{article}
\usepackage{fontspec,amsmath}
\setmainfont[Ligatures=TeX]{TeX Gyre Pagella}
\usepackage{unicode-math}
\newcommand\mytest{
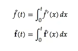
\[ \hat f(t) = \int_0^t \hat f'(x)\, dx \]
{\boldmath \[ \hat f(t) = \int_0^t \hat f'(x)\, dx \]}
}
\begin{document}
Example 1:
\setmathfont{TeX Gyre Pagella Math}
\mytest
Example 2:
\setmathfont{TeX Gyre Pagella Math}
\setmathfont[
range=\mathit/{latin,Latin,greek,Greek,num},
BoldFont=TeX Gyre Pagella Bold Italic
]{TeX Gyre Pagella Italic}
\mytest
Example 3:
\setmathfont[BoldFont=TeX Gyre Pagella Bold Italic]{TeX Gyre Pagella Math}
\mytest
Example 4:
\setmathfont{TeX Gyre Pagella Math}
\setmathfont[
version=bold,
range=\mathit/{latin,Latin,greek,Greek,num}
]{TeX Gyre Pagella Bold Italic}
\mytest
\end{document}





\boldmathhas always made all math symbols bold. – egreg Jun 06 '15 at 17:12\boldmathin the second line of the\mytestoutput, and yet all my math is bold in Example 4. – Gaussler Jun 06 '15 at 17:48:-DPlease, give me just a minute... – morbusg Jun 06 '15 at 18:40;-)– Gaussler Jun 06 '15 at 18:41