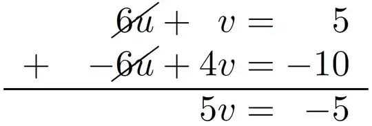
I am trying to type up some linear algebra notes and I am trying to show the vertical addition of 2 equations. Right now I have
\begin{flalign*}
&& \cancel{6u} + v &= 5 && \\
&& + \quad -\cancel{6u} + 4v &= -10 && \\
&& \line(1,0){65} & \line(1,0){35}&& \\
&& 5v &= -5 &&
\end{flalign*}
which produces this result

which works for me, but the spacing of the line is just a little too much. Any advice on how to lessen the gap from the line would be greatly appreciated!

