Here I use a left-aligned stack. The interline gap is settable with \setstackgap{S}{gap-size}. The default Shortstack gap is 3pt, which seems to small for my taste in this situation.
\documentclass{article}
\usepackage{amsmath}
\usepackage[usestackEOL]{stackengine}
\stackMath
\setstackgap{S}{8pt}% SETS GAP BETWEEN STACK LINES
\begin{document}
\begin{equation*}
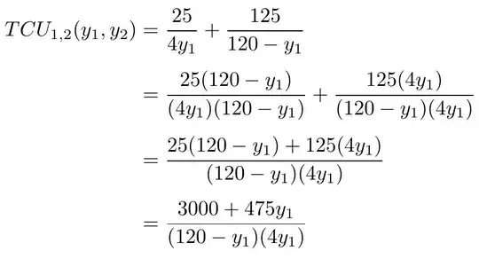
TCU_{1,2}(y_1,y_2)\Shortunderstack[l]{
{}=\dfrac{25}{4y_1}+\dfrac{125}{120-y_1} \\
{}=\dfrac{25(120-y_1)}{(4y_1)(120-y_1)}+\dfrac{125(4y_1)}{(120-y_1)(4y_1)} \\
{}=\dfrac{25(120-y_1)+125(4y_1)}{(120-y_1)(4y_1)}\\
{}=\dfrac{3000+475y_1}{(120-y_1)(4y_1)}
}
\end{equation*}
\end{document}

The identical result could be obtained with a TABstack:
\documentclass{article}
\usepackage{amsmath}
\usepackage{tabstackengine}
\stackMath
\setstackgap{S}{8pt}% SETS GAP BETWEEN STACK LINES
\begin{document}
\begin{equation*}
\alignShortunderstack{%
TCU_{1,2}(y_1,y_2)
=&\dfrac{25}{4y_1}+\dfrac{125}{120-y_1} \\
=&\dfrac{25(120-y_1)}{(4y_1)(120-y_1)}+\dfrac{125(4y_1)}{(120-y_1)(4y_1)} \\
=&\dfrac{25(120-y_1)+125(4y_1)}{(120-y_1)(4y_1)}\\
=&\dfrac{3000+475y_1}{(120-y_1)(4y_1)}
}
\end{equation*}
\end{document}