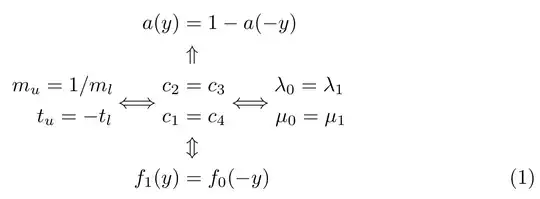
I have the following code and I dont know how to align the two horizontal \Longleftrightarrows vertically higher than they are now. Ideally they need to be only vertically moved a bit up so that one of them is vertically between c_2 and c_1 and the other needs to be between c_3 and c_4.
\begin{align}
a(y)&=1-a(-y)\nonumber\\
&\Uparrow \nonumber\\
m_u=1/m_l \quad\quad\,\, c_2&=c_3 \quad\quad\,\, \lambda_0=\lambda_1\nonumber\\
t_u=-t_l\Longleftrightarrow c_1&=c_4 \Longleftrightarrow \mu_0=\mu_1 \nonumber\\
&\Updownarrow \nonumber\\
f_1(y)&=f_0(-y)
\end{align}
This is the first time I am asking question here, therefore excuse me if there is something wrong. Thanks in advance.




\left\{and\right\}around thegatheredenvironments. I'll add the example – egreg Dec 07 '14 at 22:04