The command \bf is a Plain-TeX command. While it continues to work in LaTeX, it's considered deprecated for use in LaTeX.
The immediate cause of the problem you've encountered is an incorrect use of \bf: it is a switch and doesn't take an argument. Hence, you should write {\bf ...} instead of \bf{...}. As you've "discovered", the scope of \bf{...} ... is not the material inside the curly braces; it extends to the end of the current (math) group.
For a LaTeX document, one shouldn't use \bf anymore. Write \textbf{...} or {\bfseries ...} for text material. For math material, use \mathbf{...} if you want upright bold letters and \bm{...} (which requires the bm package) if you want italic bold letters.
There are two additional issues with your code snippet:
Don't use the eqnarray environment: it's badly deprecated. Use an environment such as align instead. See the posting eqnarray vs align for a thorough examination of the reasons for not using eqnarray.
You seem to be engaging in quite a bit of visual formatting. This makes the code both hard to read and less flexible than you would probably like it to be. The code below suggests some alternative measures, and uses align instead of eqnarray. It also shows the different effects generated by \mathbf and \bm.

\documentclass{article}
\usepackage{amsmath} % for 'align' environment
\usepackage{bm}
\newcommand\rsx[1]{#1\vphantom{\Big|}\bigg\rvert}
\begin{document}
First with \verb+\bm{...}+:
\begin{align}
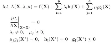
\text{Let }&L(\bm{X},\lambda,\mu)= f(\bm{X})
+\sum_{i=1}^p \lambda_{i}h_{i}(\bm{X})
+\sum_{j=1}^q\mu_{j}g_{j}(\bm{X}) \nonumber\\
&\rsx{\frac{\partial L}{\partial\bm{X}}}
_{\bm{X}=\bm{X^*}} =0 \nonumber\\
&\lambda_{i}\neq0,\quad \mu_{j}\geq0,\nonumber\\
&\mu_{j} g_{j}(\bm{X^*})=0,\quad
h_{i}(\bm{X}^*)=0,\quad
g_{j}(\bm{X^*})\leq0
\label{equ:KKT_conditions}
\end{align}
\bigskip
Second with \verb+\mathbf{...}+
\begin{align}
\text{Let }&L(\mathbf{X},\lambda,\mu)= f(\mathbf{X})
+\sum_{i=1}^p \lambda_{i}h_{i}(\mathbf{X})
+\sum_{j=1}^q\mu_{j}g_{j}(\mathbf{X}) \nonumber\\
&\rsx{\frac{\partial L}{\partial\mathbf{X}}}
_{\mathbf{X}=\mathbf{X^*}} =0 \nonumber\\
&\lambda_{i}\neq0,\quad \mu_{j}\geq0,\nonumber\\
&\mu_{j} g_{j}(\mathbf{X^*})=0,\quad
h_{i}(\mathbf{X}^*)=0,\quad
g_{j}(\mathbf{X^*})\leq0
\label{equ:KKT_conditions_alt}
\end{align}
\end{document}
\mathbfinstead of\bfI think... try it and see if it helps! Welcome to TeX.SX! Also, you may want to consider avoidingeqnarray: http://tex.stackexchange.com/a/197/32374 – darthbith Nov 28 '14 at 03:23\usepackage{bm}and replacing\bfwith\bm, becaues we can not use\bf{x}to keep other letters from boldface. And thanks for your reminder of avoiding eqnarray. I'm trying other commands. – SongAn Zhang Nov 28 '14 at 03:50\bfis just that you used the incorrect syntax butbmuses a different type of bold altogether.\bfuses bold upright roman, which should be accessed by\mathbf{x}whereas\bm{x}gives bold math italic. – David Carlisle Nov 28 '14 at 09:20