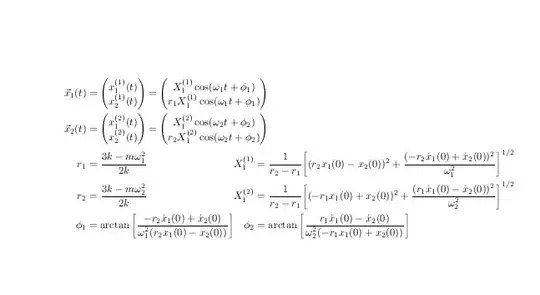
I would like the first two pieces in align look as though they are the only two items in the align environment and the rest to align at the equals signs and separated by some space for the different equality.
Right now it compiles looking like:

So the first two I would like to align as such:

and the last equalities I would like to align as

\documentclass{article}
\usepackage{mathtools}
\usepackage{amssymb}
\begin{document}
\begin{alignat*}{2}
\vec{x}_1(t) &=
\begin{pmatrix}
x_1^{(1)}(t)\\
x_2^{(1)}(t)
\end{pmatrix} &&{}=
\begin{pmatrix}
X_1^{(1)}\cos(\omega_1t + \phi_1)\\
r_1X_1^{(1)}\cos(\omega_1t + \phi_1)
\end{pmatrix}\\
\vec{x}_2(t) &=
\begin{pmatrix}
x_1^{(2)}(t)\\
x_2^{(2)}(t)
\end{pmatrix} &&{}=
\begin{pmatrix}
X_1^{(2)}\cos(\omega_2t + \phi_2)\\
r_2X_1^{(2)}\cos(\omega_2t + \phi_2)
\end{pmatrix}\\
r_1 &=
\begin{aligned}
\frac{3k - m\omega_1^2}{2k} && \qquad
X_1^{(1)} &&{}= \frac{1}{r_2 - r_1}\bigg[(r_2x_1(0) - x_2(0))^2 +
\frac{(-r_2\dot{x}_1(0) + \dot{x}_2(0))^2}{\omega_1^2}\bigg]^{1/2}
\end{aligned}\\
r_2 &=
\begin{aligned}
\frac{3k - m\omega_2^2}{2k} && \qquad
X_1^{(2)} &&{}= \frac{1}{r_2 - r_1}\bigg[(-r_1x_1(0) + x_2(0))^2 +
\frac{(r_1\dot{x}_1(0) - \dot{x}_2(0))^2}{\omega_2^2}\bigg]^{1/2}
\end{aligned}\\
\phi_1 &=
\begin{aligned}
\arctan\bigg[\frac{-r_2\dot{x}_1(0) + \dot{x}_2(0)}
{\omega_1^2(r_2x_1(0) - x_2(0))}\bigg] && \qquad
\phi_2 &&{}= \arctan\bigg[\frac{r_1\dot{x}_1(0) - \dot{x}_2(0)}
{\omega_2^2(-r_1x_1(0) + x_2(0))}\bigg]
\end{aligned}
\end{alignat*}
\end{document}


! Undefined control sequence. l.1 \documentcass– David Carlisle Nov 07 '14 at 19:09! LaTeX Error: Command \arctan already defined.– David Carlisle Nov 07 '14 at 19:10