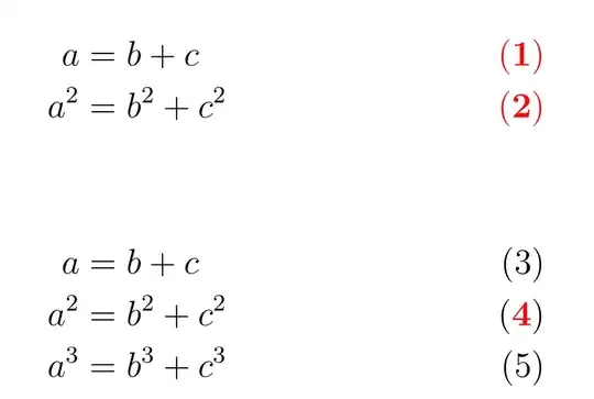
I would like to make some equation numbers (that will be defined ad hoc) bold, while others are not. I can only figure out how to make all bold or unbold, not what I am looking for.
\documentclass[leqno]{book}
\usepackage{amsmath,amssymb,amsthm, amscd}
\usepackage[a4paper, textwidth=39cm, margin=1.2in, vmargin=3cm, marginparsep=20pt, marginparwidth=.6in,]{geometry}
\usepackage{fancyhdr}
%\renewcommand\theequation{\bfseries\thesection.\arabic{equation}}
\begin{document}
\begin{equation}
x-y=z
\end{equation}
\begin{equation}
a+b=c
\end{equation}
\end{document}

