As far as I know (unless there are several Heaviside functions) the most common notation is simply H, others include u (unit step function) or θ (\theta). Never seen Θ (\Theta). For partial derivatives, I would recommend the esdiff package, which has handy macros for typesetting partial derivatives of any order.
Here is an example with the esdiff package:
\documentclass[11pt,a4paper]{article}
\usepackage[utf8]{inputenc}
\usepackage{mathtools}
\usepackage[thinc]{esdiff}
\DeclareMathOperator{\Heavi}{H}
\begin{document}
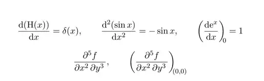
\[ \diff{(\Heavi(x))}{x} = \delta(x) ,\qquad \diff[2]{(\sin x)}{x} = -\sin x , \qquad \diff*{\mathrm{e}^x}{x}{0} = 1 \]%
\[ \diffp{f}{{x^2}{y^3}},\qquad \diffp*{f}{{x^2}{y^3}}{(0,0)} \]%
\end{document}

\partial;-) Heaviside function symbol is normally the upcase\Theta. Not equal:\neq. I don't know, whether they work in Math.SX – Aug 25 '14 at 09:45\neqand\partial:) – yo' Aug 25 '14 at 09:50H, others includeu(unit step function) orθ. Never seeΘ. For partial derivatives, I would recommend theesdiffpackage, which has handy macros for typetting partial derivatives of any order. – Bernard Aug 25 '14 at 10:45esdiffas the post has been closed and the mentioned link is not relevant to include it. Do you know how one can ask for re-opening it? – Bernard Aug 25 '14 at 11:47