I want to draw a tree and I don't know how to enforce the spacing between them. Some are overlapping.
This is my code:
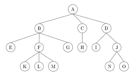
\begin{tikzpicture}
\tikzstyle{every node}=[circle,draw]
\node {A}
child { node {B}
child { node {E} }
child { node {F} child { node {K} } child { node {L} } child { node {M}}}
child { node {G} }}
child { node {C}
child {node {H}}}
child { node {D} child {node {I}} child {node {J} child {node {N}} child {node {O}}}};
\end{tikzpicture}
The nodes G and H are overlapping.
I've tried using the parameter node distance but it doesn't work.





tikz-qtree. – Alan Munn May 30 '11 at 21:24\tikzset{edge from parent/.style={draw, edge from parent path={(\tikzparentnode) -- (\tikzchildnode)}}}– kgr May 30 '11 at 22:08