1

Recently, I am using LaTex to draw graphs. However, I don't know how to do it.

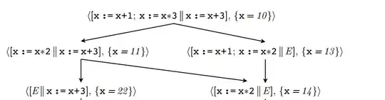
My graphs just like: enter image description here

How can I do it?

Torbjørn T.
  • 206,688
  • Welcome to TeX.SX! Your post was migrated here from another Stack Exchange site. Please register on this site, too, and make sure that both accounts are associated with each other (by using the same OpenID), otherwise you won't be able to comment on or accept answers or edit your question. – jub0bs Apr 14 '14 at 11:34
  • I'm not sure I understand you correctly? Is that the graph you have or the graph you'd like to have? What did you try up to now and what do you want to achieve? – Habi Apr 14 '14 at 12:31
  • You could start by having a look at e.g. http://tex.stackexchange.com/q/3892/15925 – Andrew Swann Apr 15 '14 at 10:47

0 Answers0