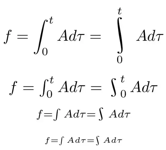
This answer follows the additional Russian typographic tradition (Figure 5 of http://www.staff.uni-giessen.de/partosch/eurotex99/zaitsev.pdf) of having the limits above and below the integral sign in \displaystyle. The \rint is essentially an \int (of the current math style) with a 15 degree rotation applied to it.
\documentclass{article}
\usepackage{amsmath}
\DeclareMathOperator*{\rint}{\ThisStyle{\rotatebox{15}{$\SavedStyle\!\int\!$}}}
\usepackage{scalerel}
\usepackage{graphicx}
\parskip 1ex
\begin{document}
\[
f=\int_0^t A d\tau =\rint_0^t A d\tau
\]
\centering
\(
f=\int_0^t A d\tau =\rint_0^t A d\tau
\)\par
\(
\scriptstyle f=\int A d\tau =\rint A d\tau
\)\par
\(
\scriptscriptstyle f=\int A d\tau =\rint A d\tau
\)
\end{document}

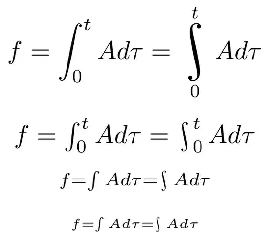
And here is a slight variation on the above solution in which a 30% horizontal stretch is applied to the integral sign, in an attempt to provide a width that is more in line with the literature.
\documentclass{article}
\usepackage{amsmath}
\DeclareMathOperator*{\rint}{\ThisStyle{\hstretch{1.3}{\rotatebox{18}{$\SavedStyle\!\int\!$}}}}
\usepackage{scalerel}
\usepackage{graphicx}
\parskip 1ex
\begin{document}
\[
f=\int_0^t A d\tau =\rint_0^t A d\tau
\]
\centering
\(
f=\int_0^t A d\tau =\rint_0^t A d\tau
\)\par
\(
\scriptstyle f=\int A d\tau =\rint A d\tau
\)\par
\(
\scriptscriptstyle f=\int A d\tau =\rint A d\tau
\)
\end{document}

And here is a final variation of the 1st solution in which the \rint sign is always a scaled version of the \textstyle\rint, the net effect being to make a particularly wider symbol in \displaystyle than either of the two other approaches.
\documentclass{article}
\usepackage{amsmath}
\DeclareMathOperator*{\rint}{\scalerel*{\rotatebox{17}{$\!\int\!$}}{\int}}
\usepackage{scalerel}
\usepackage{graphicx}
\parskip 1ex
\begin{document}
\[
f=\int_0^t A d\tau =\rint_0^t A d\tau
\]
\centering
\(
f=\int_0^t A d\tau =\rint_0^t A d\tau
\)\par
\(
\scriptstyle f=\int A d\tau =\rint A d\tau
\)\par
\(
\scriptscriptstyle f=\int A d\tau =\rint A d\tau
\)
\end{document}
