With TikZ it is really easy. I used Plain TeX, so you will need to \input tikz.tex instead of \usepackage{tikz} and instead of \begin{document}...\end{document} you issue \bye at the end of your document.
Typeset the following code with pdftex
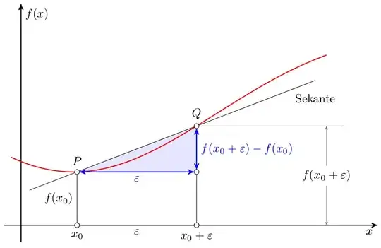
\input tikz.tex
\nopagenumbers% for cropping
\usetikzlibrary{arrows,intersections}
\tikzpicture[
thick,
>=stealth',
dot/.style = {
draw,
fill=white,
circle,
inner sep=0pt,
minimum size=4pt
}
]
\coordinate (O) at (0,0);
\draw[->] (-0.3,0) -- (8,0) coordinate[label={below:$x$}] (xmax);
\draw[->] (0,-0.3) -- (0,5) coordinate[label={right:$f(x)$}] (ymax);
\path[name path=x] (0.3,0.5) -- (6.7,4.7);
\path[name path=y] plot[smooth] coordinates {(-0.3,2) (2,1.5) (4,2.8) (6,5)};
\scope[name intersections={of=x and y,name=i}]
\fill[gray!20] (i-1) -- (i-2 |- i-1) -- (i-2) -- cycle;
\draw (0.3,0.5) -- (6.7,4.7) node[pos=0.8,below right] {Sekante};
\draw[red] plot[smooth] coordinates {(-0.3,2) (2,1.5) (4,2.8) (6,5)};
\draw (i-1) node[dot,label={above:$P$}] (i-1) {} -- node[left] {$f(x_0)$} (i-1 |- O) node[dot,label={below:$x_0$}] {};
\path (i-2) node[dot,label={above:$Q$}] (i-2) {} -- (i-2 |- i-1) node[dot] (i-12) {};
\draw (i-12) -- (i-12 |- O) node[dot,label={below:$x_0 + \varepsilon$}] {};
\draw[blue,<->] (i-2) -- node[right] {$f(x_0 + \varepsilon) - f(x_0)$} (i-12);
\draw[blue,<->] (i-1) -- node[below] {$\varepsilon$} (i-12);
\path (i-1 |- O) -- node[below] {$\varepsilon$} (i-2 |- O);
\draw[gray] (i-2) -- (i-2 -| xmax);
\draw[gray,<->] ([xshift=-0.5cm]i-2 -| xmax) -- node[fill=white] {$f(x_0 + \varepsilon)$} ([xshift=-0.5cm]xmax);
\endscope
\endtikzpicture
\bye
This will produce the following output (cropped)

As intersections are computed by the intersections library this solution is adaptive. In this code, not actually the point Q is moved, but one of the points on the red line, which causes Q to move (if you look closely you can see, that the red line gets an ugly bump while Q moves right).
My workflow for creating animations is the following:
- Modify the source file, such that for each variation a seperate page in the output is created (in most cases using the PGF
\foreach loop, like here)
- Crop the resulting PDF using Heiko Oberdiek's
pdfcrop.
- Import the cropped PDF in GIMP.
- In GIMP: Reverse the layer order and export as
.gif with the option As Animation checked and a delay of 200 milliseconds (otherwise it is too fast for me).
The following contains the code used to create the animation. I marked the extra and modified lines needed in contrast to the above code.
\input tikz.tex
\nopagenumbers% for cropping
\usetikzlibrary{arrows,intersections}
\foreach \Q in {4,4.1,4.2,...,5,4.9,4.8,...,4.1} {%<-- added
\tikzpicture[
thick,
>=stealth',
dot/.style = {
draw,
fill=white,
circle,
inner sep=0pt,
minimum size=4pt
}
]
\coordinate (O) at (0,0);
\draw[->] (-0.3,0) -- (8,0) coordinate[label={below:$x$}] (xmax);
\draw[->] (0,-0.3) -- (0,5) coordinate[label={right:$f(x)$}] (ymax);
\path[name path=x] (0.3,0.5) -- (6.7,4.7);
\path[name path=y] plot[smooth] coordinates {(-0.3,2) (2,1.5) (\Q,2.8) (6,5)};%<-- modified
\scope[name intersections={of=x and y,name=i}]
\fill[gray!20] (i-1) -- (i-2 |- i-1) -- (i-2) -- cycle;
\draw (0.3,0.5) -- (6.7,4.7) node[pos=0.8,below right] {Sekante};
\draw[red] plot[smooth] coordinates {(-0.3,2) (2,1.5) (\Q,2.8) (6,5)};%<-- modified
\draw (i-1) node[dot,label={above:$P$}] (i-1) {} -- node[left] {$f(x_0)$} (i-1 |- O) node[dot,label={below:$x_0$}] {};
\path (i-2) node[dot,label={above:$Q$}] (i-2) {} -- (i-2 |- i-1) node[dot] (i-12) {};
\draw (i-12) -- (i-12 |- O) node[dot,label={below:$x_0 + \varepsilon$}] {};
\draw[blue,<->] (i-2) -- node[right] {$f(x_0 + \varepsilon) - f(x_0)$} (i-12);
\draw[blue,<->] (i-1) -- node[below] {$\varepsilon$} (i-12);
\path (i-1 |- O) -- node[below] {$\varepsilon$} (i-2 |- O);
\draw[gray] (i-2) -- (i-2 -| xmax);
\draw[gray,<->] ([xshift=-0.5cm]i-2 -| xmax) -- node[fill=white] {$f(x_0 + \varepsilon)$} ([xshift=-0.5cm]xmax);
\endscope
\endtikzpicture
\eject%<-- added
}%<-- added
\bye
