Given the following set of equations as an example:
`...
\begin{align}
x &= y^2 + 3 \\
y + 3 &= 11
\end{align}`
The equations will be center aligned with respect to the "=" sign and tagged on the left with equation numbers. Is there a way I can add a note to the side of one of the equations without affecting the positioning of the equations (i.e. not shifting the group of equations upon insertion of the note)?
I've tried '{flalign}', but the group of equations shifts upon addition of the note. I've tried to find a way to add an additional tag on the right, but have come up empty. I've used '\qquad', but that, too, shifts the group of equations.
Here is the reason: aesthetics. If I have two groups of equations that are centered (using gather or similar), the group of equations that includes the note will be shifted from the other groups of equations. I just think this looks sloppy... call me picky.
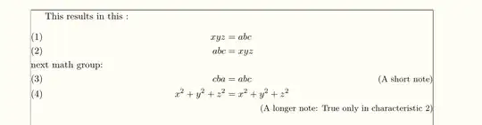
Example output:
(left) (center) (right)
(1) xyz = abc
(2) abc = xyz
{next math group}
(3) cba = abc
(4) yzx = cba some text
Thanks in advance.

$s from the definition of\Domainif you don't always need math mode, and rename the command to suit your semantic usage. I remember seeing other related questions too; I'll keep looking a bit. – Paul Gessler Mar 11 '14 at 19:52\intertext. (requiresamsmath, and i'm sure this has been asked/answered before.) – barbara beeton Mar 11 '14 at 19:58falignbut puts a phantom of the note on the opposite side, thus preserving the centering. – Steven B. Segletes Mar 11 '14 at 20:03