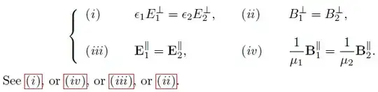
When having multiple equations inside one displaymath environment, it is sometimes desirable to refer to just one of them without having to break the environment up into smaller pieces. Take for example the following set of boundary conditions (where the last three labels won't work, but are written here to illustrate the goal of this question):
\[\left\{\begin{array}{l l l l}
(i)\label{eq:i}\quad & \epsilon_1E_1^\perp=\epsilon_2E_2^\perp,\quad &
(ii)\label{eq:ii}\quad & B_1^\perp=B_2^\perp,\\\\
(iii)\label{eq:iii}\quad & \mathbf{E}_1^\parallel=\mathbf{E}_2^\parallel,\quad &
(iv)\label{eq:iv}\quad & \dfrac{1}{\mu_1}\mathbf{B}_1^\parallel=\dfrac{1}{\mu_2}\mathbf{B}_2^\parallel.
\end{array}\right.\]

How can one refer to any of the above four equations separately? Is a list inside a math environment perhaps possible?


\textitshould add the italic correction by itself. – egreg Feb 14 '14 at 16:11hyperref-compatible version. – Werner Feb 14 '14 at 18:07hyperrefbut yours works with and without. +1 – karlkoeller Feb 14 '14 at 18:28\normalbaselineskip. – Werner Feb 14 '14 at 19:01