I was having some thought about what would be the syntax to make the end point evaluation of derivatives or integrals. Such as making the | with the two end points of evaluation on the top an bottom of the line. Any suggestions would be wonderful.
-
11I was really hoping this was going to be a question about doing symbolic integration and differentiation in TeX. Alas, it was actually about typesetting. =) – TH. Apr 15 '11 at 17:07
-
2I came here interested in typesetting, and found it useful. – Ross Millikan Jun 15 '11 at 05:07
6 Answers
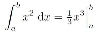
The \big| or \Big| symbols work quite well
\documentclass{article}
\usepackage{amsmath}
\begin{document}
\[ \int_a^b x^2\;\mathrm{d}x= \tfrac{1}{3} x^3 \Big|_a^b \]
\end{document}

- 19,694
-
1Thank You Danie, that worked excellent. Just what I was looking for. One question while on the topic. I noticed you using
\tfrac, is there any significance to that over using\dfrac. How different are they and what do they actually mean if you know? Meaning the 't' and 'd'. – night owl Apr 15 '11 at 15:13 -
4@night owl:
\tfracis the inline "text" mode fraction and\dfracthe display math frac.\tfracis smaller and I prefer it for single line equations. – Danie Els Apr 15 '11 at 15:35 -
-
2@night:
\tfracis nice for numerical fractions but I would avoid it when variables are in the numerator or denominator. – Matthew Leingang Apr 15 '11 at 18:48 -
How do you get that integral sign like that. Mines looks loose and sloppy at the ends. Using: $ \displaystyle\int f(x)\ dx. $
OR$$ \displaystyle\int f(x)\ dx. $$
– night owl Apr 19 '11 at 11:54 -
for some reason MS Word equations tool doesn't understand \Big modifier. Any idea how to make | bigger in this case? – dKab Jan 18 '19 at 22:38
-
Oftentimes (this would be font-dependent) the integral symbol
\intlooks thicker than the evaluation symbol|(see also Gonzalo's answer). No-one seems bothered. I would be tempted to have a thinner integral squiggle or a thicker evaluation bar... am I "wrong"? – PatrickT Oct 08 '22 at 20:55 -
The \left - \right construct gives you an expandable evaluation symbol:
\documentclass[12pt]{article}
\usepackage{amsmath}
\DeclareMathOperator{\di}{d\!}
\newcommand*\Eval[3]{\left.#1\right\rvert_{#2}^{#3}}
\begin{document}
\[
\int_{a}^{b}x\di x = \Eval{\dfrac{1}{2}x^{2}}{a}{b}
\]
\[
\int_{a}^{b}\di x = \Eval{x}{a}{b}
\]
\end{document}

EDIT: I modified the code following the comment by Ryan Reich.
- 54,637
- 505,128
-
Thanks for the response. Your looks clean, just a tad bit more work. hehe.. +1 – night owl Apr 15 '11 at 15:57
-
8
-
5+1 I prefer this over using the
\big|or\Big|symbols because of the expandability - you may have a very complex expression of which you don't know the vertical extent, and hence which size modifier for the|. It's a "tad bit more work" up front as @night owl pointed out, but you don't need to tweak and recompile to get it looking just right :). – cm2 Sep 27 '11 at 15:32 -
-
1@anton it's a placeholder because there has to be an argument there, but we don't actually want anything printed. It is a special case specifically designed for this purpose; no period is actually shown. – Ryan Reich May 08 '22 at 19:28
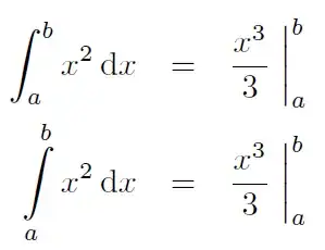
If you want the evaluation symbol to be of the same height as the integration symbol, you can enclose a phantom integration symbol between \left and \right, like this:
\documentclass{article}
\usepackage{amsmath}
\DeclareMathOperator*{\di}{\mathrm{d}\!}
\def\at{
\left.
\vphantom{\int}
\right|
}
\begin{document}
\begin{eqnarray}
\int_a^b x^2 \di x &=& \frac{x^3}{3}\at_a^b \\
\int\limits_a^b x^2 \di x &=& \frac{x^3}{3}\at_a^b
\end{eqnarray}
\end{document}
- 121
This hasn't got anything to do with your question, but I'll post it anyway (it's on topic I guess).
I don't know if this is correct (since few people do it), but I like it when the integration limits are above and below the integral sign:
\DeclareMathOperator{\di}{d\!}
\[
\int\limits_a^b\! x\di x = \tfrac{1}{2}x^2\Big|_a^b
\]
As you can see, adding the macro \limits to your code makes the integral look good. You can do this for any math operator.
Also notice that the \! command brings the integrandum closer to the integral sign. I like this kind of snugged integrals.

-
.. unusual, is there a maths book or article using it? I would be interested in having a look. – yannisl Apr 16 '11 at 17:22
-
@Yiannis: As I said, don't know if it's the correct way of typesetting integral bounds, I just like it myself. I geuss I've seen it around somewhere, just can't remember where. – romeovs Apr 16 '11 at 18:15
-
3This is the standard way of typesetting integration limits in Russian literature. – ScumCoder Aug 16 '16 at 21:26
-
This is probably not done because the integral symbol's already pretty tall, so stacking over- and underscripts on it fills even more vertical space. – Chappers May 27 '17 at 21:48
-
@chappers, would it make sense to align the integration bounds of the integral (lhs) with those of the evaluation (rhs)? since the vertical space is already used up... maybe that's the Russian logic... I just noticed that denshion's answer below addresses this possibility. – PatrickT Oct 08 '22 at 20:59
None of the stuff here gave me the desired outcome in the editor I was using (MATLAB live script), but I found this and it's really nice:
\bigg/_{\!\!\! a}^{\,b}
Example:
\frac{\sqrt{\pi}}{2}\bigg/_{\!\!\! a}^{\,b}x^2
- 121
- 6
-
-
1I don't know what that means in this context, but maybe someone finds that useful to know. – 0x464e Mar 05 '21 at 15:46

