You're probably after the second of the following two instances (the first is yours):

\documentclass{article}
\usepackage{amsmath}% http://ctan.org/pkg/amsmath
\begin{document}
\begin{align*}
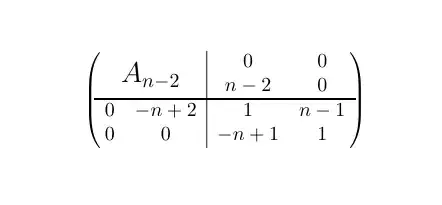
A_n &= \left(\begin{array}{cc|cc}
& & 0 & 0 \\
& A_{n-2} & n - 2 & 0 \\
\hline \\
0 & -n + 2 & 1 & n - 1 \\
0 & 0 & -n + 1 & 1
\end{array}\right) \\
A_n &= \left(\begin{array}{cc|cc}
& & 0 & 0 \\
\multicolumn{2}{c|}{\smash{\raisebox{.5\normalbaselineskip}{$A_{n-2}$}}}
& n - 2 & 0 \\
\hline \\[-\normalbaselineskip]
0 & -n + 2 & 1 & n - 1 \\
0 & 0 & -n + 1 & 1
\end{array}\right)
\end{align*}
\end{document}
Horizontal centering is achieved via \multicolumn{2}{c}, while vertical centering is obtained via \raisebox{.5\normalbaselineskip}. \smash removes any vertical distortion (from raising the boxed content), while the negative skip after \hrule vertically aligns the vertical rules (top and bottom).
$$<math content>$$. Use instead\[<math content>\]– azetina Jan 09 '14 at 19:46