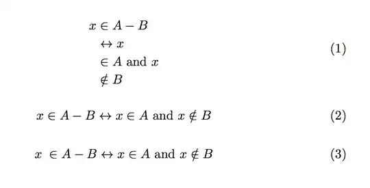
I've got the following code for an equation:
\begin{dmath}
x \in A - B \leftrightarrow x \in A \textrm{ and } x \not\in B
\end{dmath}
It produces the output:

The equation really doesn't need so many line breaks, the whole thing could fit on one line. I then put a frame around it to see the bounds of the equation:

Is there a way to define the bounds of a dmath equation so that it isn't crammed into a really small box and given loads of line breaks?

dmath, if you know it can fit on one line, you can use theequationenvironment. using the same environment for every display in your document may not be the best choice. – barbara beeton Dec 23 '13 at 13:19