You can use
\documentclass{article}
\usepackage{amsmath}
\begin{document}
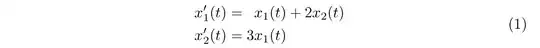
\begin{alignat*}{3}
x_{1}'(t) &= &x_{1}(t) &{}+{}& 2&x_{2}(t)\\
x_{2}'(t) &= 3&x_{1}(t) & & &
\end{alignat*}
\end{document}

Notice that I have added three alignment points in case you need to vertically align the second factor on the right-hand side too.
I hope it's clear how to extend this to more than three alignment points. (Fore n alignment points, 2n-1 &s are needed.)
P.S. Remember the use of {} to get the correct spacing around the +.
Update
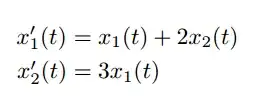
In case you don't need more than two alignment points, you can use the following:
\begin{alignat*}{2}
x_{1}'(t) &={}& &x_{1}(t) + 2x_{2}(t)\\
x_{2}'(t) &={}& 3&x_{1}(t)
\end{alignat*}
\documentclass{...},\begin{document}, and\end{document}. That may seem tedious to you, but think of the extra work it represents for TeX.SX users willing to give you a hand. Help them help you: remove that one hurdle between you and a solution to your problem. – jub0bs Dec 08 '13 at 19:05\systemeapproach mentioned in one of the answers in your link won't work in the present case, as it'll insist on placing the variablesx_1'(t)andx_2'(t)in different columns... – Mico Dec 08 '13 at 20:22