I'm using newtxmath with the slanted and libertine option in order to get standard slanted greek letters in mathmode as well as the option for upright greek letters.
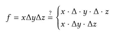
My question concerns a common two letter variable consisting of a captial Delta and a variable (either latin or greek). It is used in physics to denote the finite increase of a quantity (cf. IUPAP Red Book, Sec. 5.2). The problem when simply typing \upDelta x it can lead to results that look confusing:

The Problem is that the spacing between all symbols is equal and it is not clear that the Delta belongs to the following variable.
My attempt now is to remove the space after the Delta that denotes hidden multiplication. In the accepted answer to a similar question (Two letter variable names) the use of \mathit{} was recommended:
\mathit{NA} \neq NA = N \cdot A

This, however, doesn't work if greek letters are involved. The second answer says removing the space with hspace{-0.1em}. This works for a lot of letters but in some cases the Delta clashes with the variable. Furthermore, I don't know if ´0.1em` is the right amount of space to be removed, for me this choice seems rather arbitrary.
This MWE illustrates the problem at hand:
\documentclass{scrartcl}
\usepackage{mathtools}
\usepackage{libertine}
\usepackage[slantedGreek,libertine]{newtxmath}
\newcommand{\updel}[1]{\upDelta\hspace{-0.1em}#1}
\newcommand{\sldel}[1]{\Delta\hspace{-0.1em}#1}
\begin{document}
Doesn't work:
\begin{equation}
\mathit{\upDelta\Phi} \quad \mathit{\upDelta A}\text{.}
\end{equation}
Works only with \(\Phi\) but not with \(A\):
\begin{equation}
\updel{\Phi} \quad \updel{A}\text{.}
\end{equation}
With slanted \(\Delta\):
\begin{equation}
\sldel{\Phi} \quad \sldel{A}\text{.}
\end{equation}
\end{document}

A different approach would be to add spaces before and after \upDelta x but I couldn't say how much space is appropriate.

$\upDelta\Phi\upDelta A$; why using\mathit? – egreg Oct 25 '13 at 19:22